• Formula : Na2NiH4(SeO5)2
  • Space Group : P-1 (2)
    Centrosymmetric : True
    Dimensionality : 2D
  • Structure parameters
    a = 5.912
    b = 7.182
    c = 5.511
    α = 99.14
    β = 106.43
    γ = 108.58
  • Number of atoms per primitive cell = 19
    Total number of electrons per primitive cell = 104
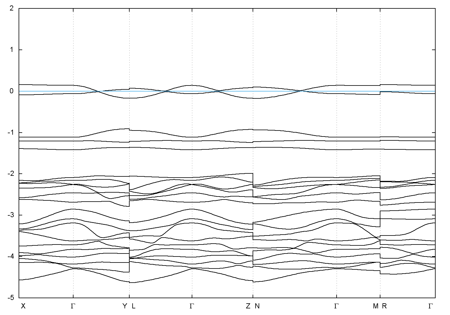
  • Band gap = 0.0 eV
    Direct Gap = 0.009 eV
    Metallicity = 0.013
    Topological Z2 indices ν = (0;000)
  • scf.in - scf.out - bands.in - bands.out
  • Reference: ICSD Collection Code: 98684

Band structure with spin-orbit coupling