• Formula : H3I3N2
  • Space Group : P2_1/m (11)
    Centrosymmetric : True
    Dimensionality : 3D
  • Structure parameters
    a = 7.132
    b = 7.506
    c = 6.324
    α = 90.0
    β = 98.6
    γ = 90.0
  • Number of atoms per primitive cell = 16
    Total number of electrons per primitive cell = 68
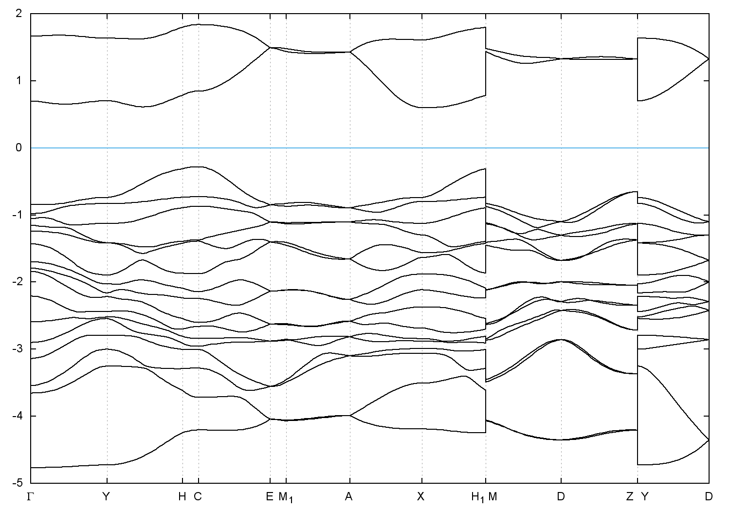
  • Band gap = 0.8803 eV
    Direct Gap = 1.057 eV
    Metallicity = 0.000
    Topological Z2 indices ν = (0;000)
  • scf.in - scf.out - bands.in - bands.out
  • Reference: ICSD Collection Code: 27416

Band structure with spin-orbit coupling