• Formula : RbFeSe2
  • Space Group : C2/c (15)
    Centrosymmetric : True
    Dimensionality : 1D
  • Structure parameters
    a = 7.474
    b = 12.091
    c = 5.662
    α = 90.0
    β = 112.38
    γ = 90.0
  • Number of atoms per primitive cell = 8
    Total number of electrons per primitive cell = 58
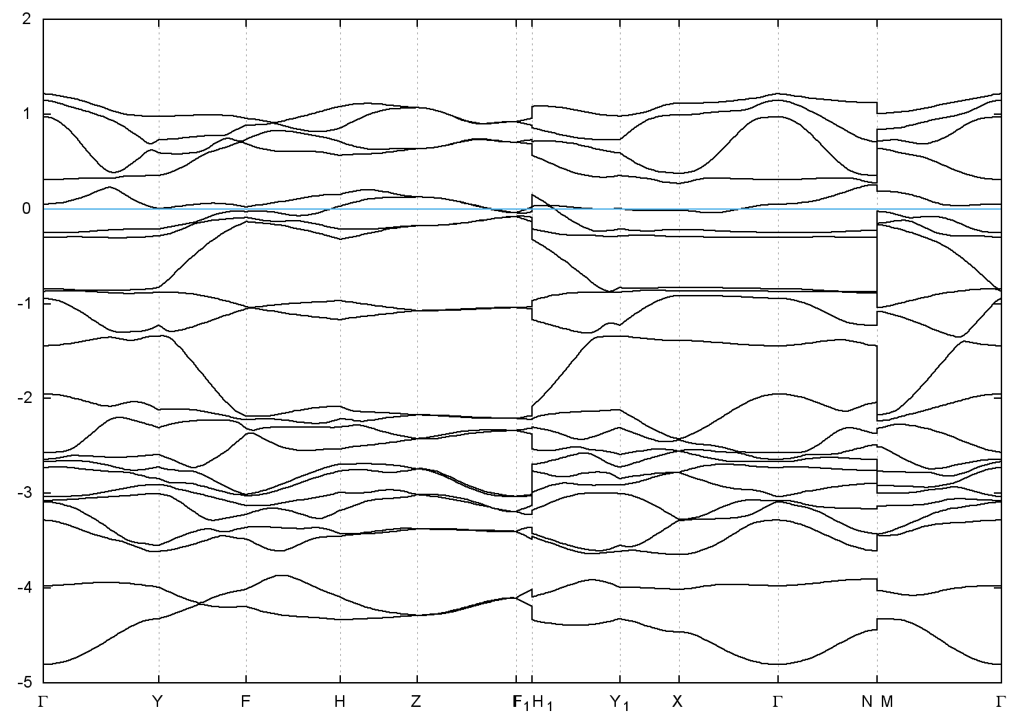
  • Band gap = 0.0 eV
    Direct Gap = 0.000 eV
    Metallicity = 0.372
    Topological Z2 indices ν = (1;011)
  • scf.in - scf.out - bands.in - bands.out
  • Reference: ICSD Collection Code: 633210

Band structure with spin-orbit coupling