• Formula : Sr8Mn2FeN8
  • Space Group : C2/m (12)
    Centrosymmetric : True
    Dimensionality : 1D
  • Structure parameters
    a = 18.831
    b = 5.3206
    c = 7.5506
    α = 90.0
    β = 106.272
    γ = 90.0
  • Number of atoms per primitive cell = 19
    Total number of electrons per primitive cell = 158
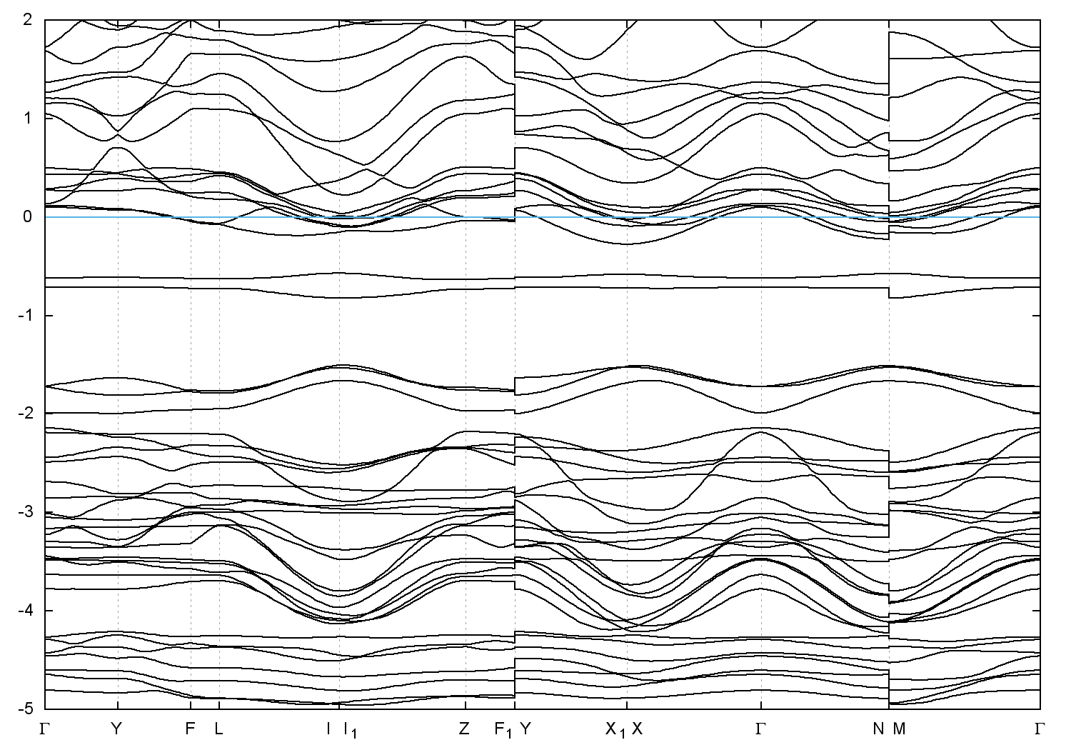
  • Band gap = 0.0 eV
    Direct Gap = 0.005 eV
    Metallicity = 0.751
    Topological Z2 indices ν = (0;000)
  • scf.in - scf.out - bands.in - bands.out
  • Reference: ICSD Collection Code: 409950

Band structure with spin-orbit coupling