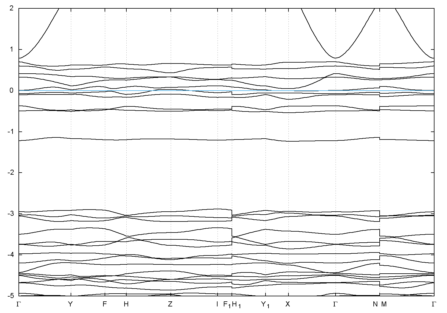
You must have javascript enabled to display the crystal structure and Brillouin zone
Das erste Oxoferrat I(III) mit isoliertem Anion: K6 (Fe2 O6), Angewandte Chemie (German Edition) 85, 589 (1973)