• Formula : Sr8Fe3N8
  • Space Group : C2/m (12)
    Centrosymmetric : True
    Dimensionality : 1D
  • Structure parameters
    a = 18.8058
    b = 5.31658
    c = 7.50699
    α = 90.0
    β = 106.2445
    γ = 90.0
  • Number of atoms per primitive cell = 19
    Total number of electrons per primitive cell = 144
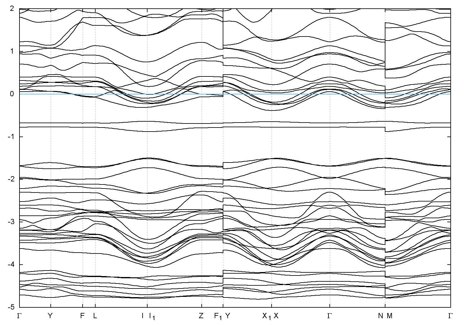
  • Band gap = 0.0 eV
    Direct Gap = 0.000 eV
    Metallicity = 0.933
    Topological Z2 indices ν = (0;111)
  • scf.in - scf.out - bands.in - bands.out
  • Reference: ICSD Collection Code: 409949

Band structure with spin-orbit coupling