Home
Formula : CsTe
Space Group :
Pbam (55)
Centrosymmetric : True
Dimensionality : 1D
Structure parameters
a = 11.629
b = 6.1278
c = 4.9602
α = 90.0
β = 90.0
γ = 90.0
Number of atoms per primitive cell = 8
Total number of electrons per primitive cell = 60
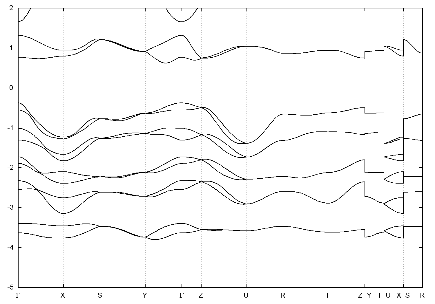
Band gap = 0.9969 eV
Direct Gap = 1.077 eV
Metallicity = 0.000
Topological Z2 indices ν = (0;000)
scf.in
-
scf.out
-
bands.in
-
bands.out
Reference:
ICSD Collection Code: 83351
Band structure with spin-orbit coupling