• Formula : CsO3
  • Space Group : P2_1/c (14)
    Centrosymmetric : True
    Dimensionality : 1D
  • Structure parameters
    a = 6.709
    b = 6.244
    c = 8.997
    α = 90.0
    β = 120.85
    γ = 90.0
  • Number of atoms per primitive cell = 16
    Total number of electrons per primitive cell = 108
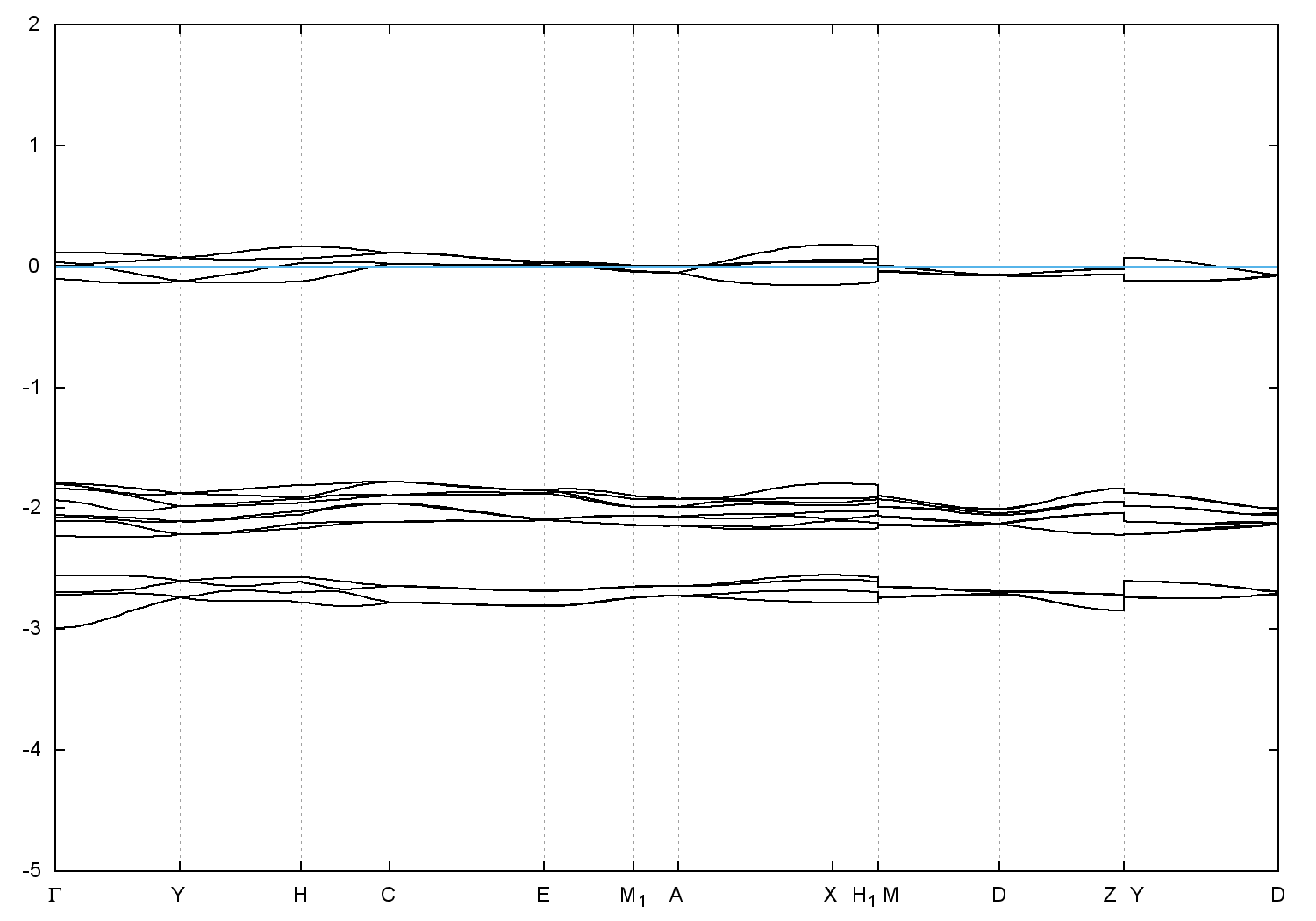
  • Band gap = 0.0 eV
    Direct Gap = 0.000 eV
    Metallicity = 0.677
    Topological Z2 indices ν = (1;111)
  • scf.in - scf.out - bands.in - bands.out
  • Reference: ICSD Collection Code: 33847

Band structure with spin-orbit coupling