• Formula : Cs6Fe2O5
  • Space Group : C2/m (12)
    Centrosymmetric : True
    Dimensionality : 3D
  • Structure parameters
    a = 7.474
    b = 12.288
    c = 7.309
    α = 90.0
    β = 96.41
    γ = 90.0
  • Number of atoms per primitive cell = 13
    Total number of electrons per primitive cell = 100
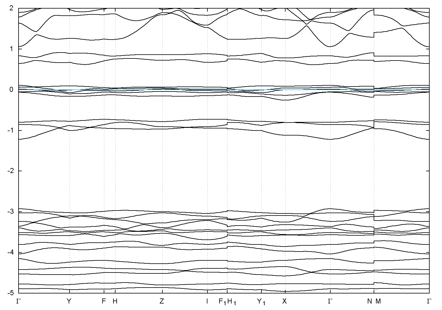
  • Band gap = 0.0 eV
    Direct Gap = 0.017 eV
    Metallicity = 0.390
    Topological Z2 indices ν = (0;000)
  • scf.in - scf.out - bands.in - bands.out
  • Reference: ICSD Collection Code: 73134

Band structure with spin-orbit coupling