• Formula : Cs2SnSe3
  • Space Group : C2/m (12)
    Centrosymmetric : True
    Dimensionality : 1D
  • Structure parameters
    a = 14.634
    b = 7.472
    c = 12.821
    α = 90.0
    β = 135.15
    γ = 90.0
  • Number of atoms per primitive cell = 12
    Total number of electrons per primitive cell = 100
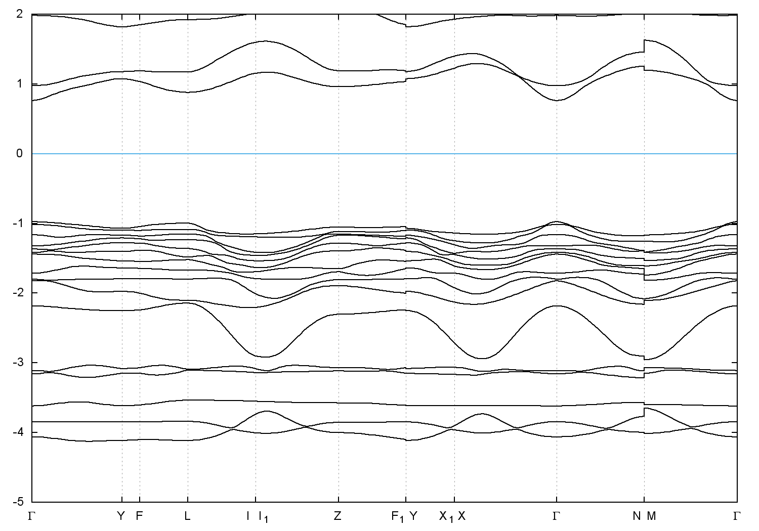
  • Band gap = 1.7375 eV
    Direct Gap = 1.738 eV
    Metallicity = 0.000
    Topological Z2 indices ν = (0;000)
  • scf.in - scf.out - bands.in - bands.out
  • Reference: ICSD Collection Code: 67251

Band structure with spin-orbit coupling