• Formula : Cs2MnTe2
  • Space Group : Ibam (72)
    Centrosymmetric : True
    Dimensionality : 1D
  • Structure parameters
    a = 7.963
    b = 15.198
    c = 7.139
    α = 90.0
    β = 90.0
    γ = 90.0
  • Number of atoms per primitive cell = 10
    Total number of electrons per primitive cell = 90
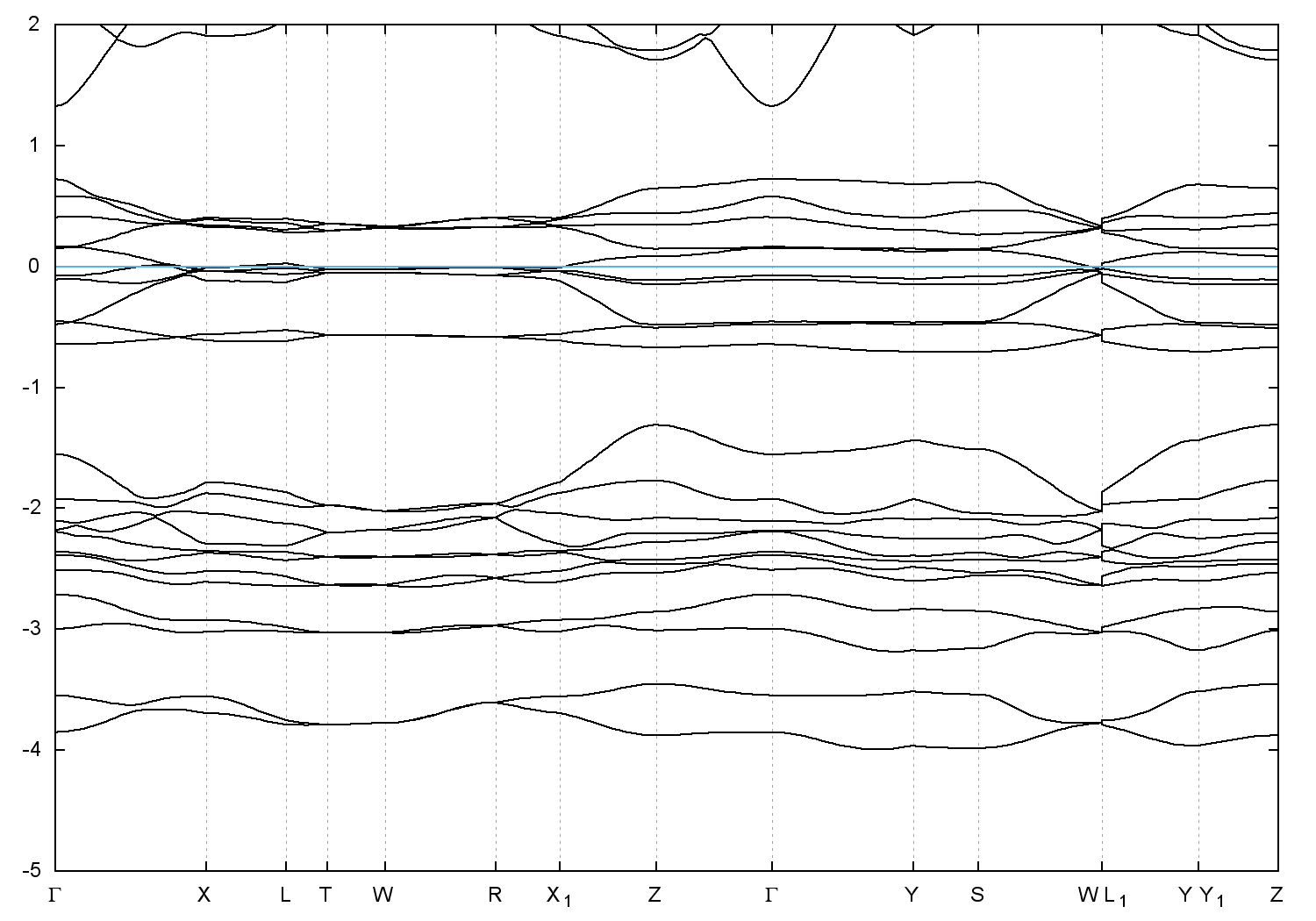
  • Band gap = 0.0 eV
    Direct Gap = 0.000 eV
    Metallicity = 0.301
    Topological Z2 indices ν = (1;001)
  • scf.in - scf.out - bands.in - bands.out
  • Reference: ICSD Collection Code: 65461

Band structure with spin-orbit coupling