• Formula : Cs2Li2SiO4
  • Space Group : P-1 (2)
    Centrosymmetric : True
    Dimensionality : 2D
  • Structure parameters
    a = 9.596
    b = 5.774
    c = 5.581
    α = 92.52
    β = 110.93
    γ = 95.45
  • Number of atoms per primitive cell = 18
    Total number of electrons per primitive cell = 104
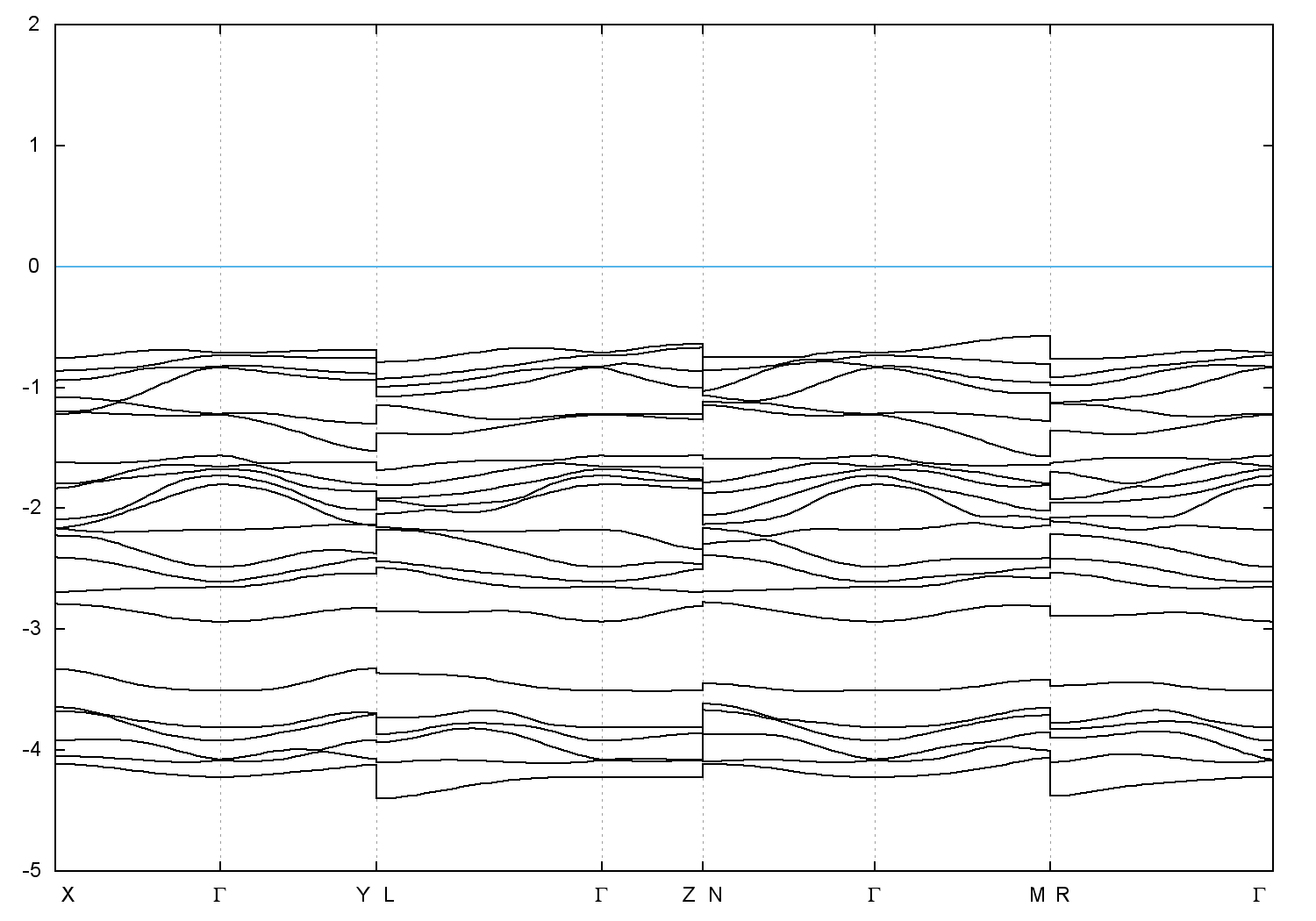
  • Band gap = 4.1815 eV
    Direct Gap = 4.319 eV
    Metallicity = 0.000
    Topological Z2 indices ν = (0;000)
  • scf.in - scf.out - bands.in - bands.out
  • Reference: ICSD Collection Code: 33809

Band structure with spin-orbit coupling