• Formula : Cs2Li2GeO4
  • Space Group : P-1 (2)
    Centrosymmetric : True
    Dimensionality : 2D
  • Structure parameters
    a = 9.687
    b = 5.86
    c = 5.713
    α = 92.71
    β = 110.95
    γ = 94.34
  • Number of atoms per primitive cell = 18
    Total number of electrons per primitive cell = 104
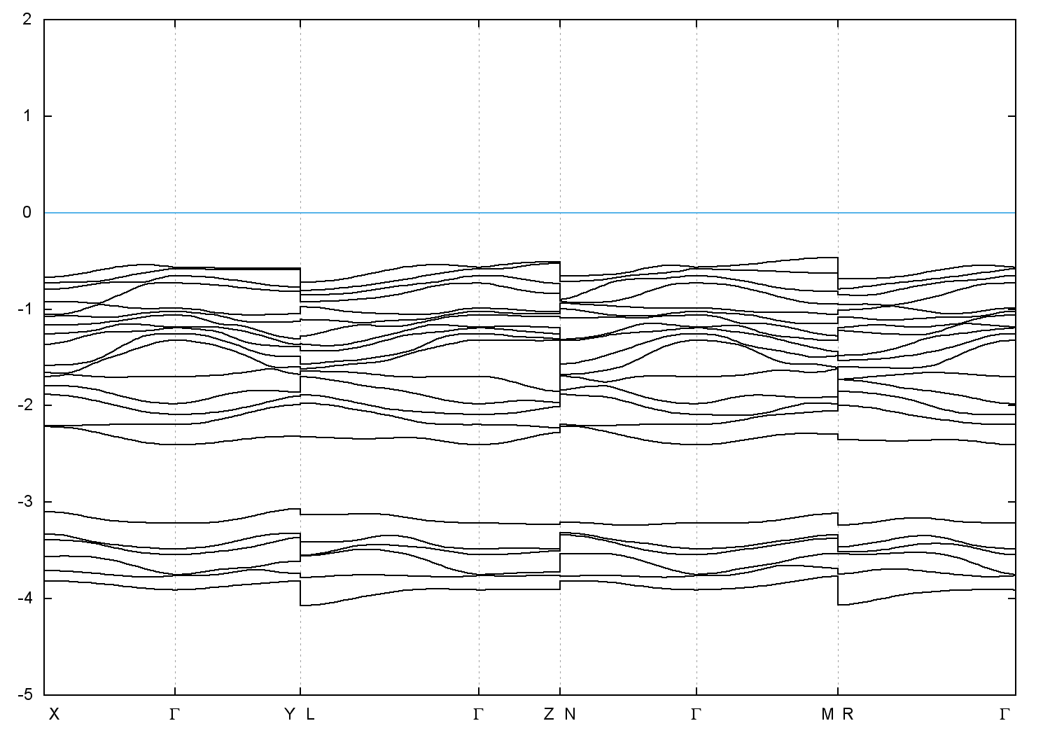
  • Band gap = 3.9221 eV
    Direct Gap = 4.022 eV
    Metallicity = 0.000
    Topological Z2 indices ν = (0;000)
  • scf.in - scf.out - bands.in - bands.out
  • Reference: ICSD Collection Code: 36532

Band structure with spin-orbit coupling