• Formula : Rb2CoI4
  • Space Group : P2_1/m (11)
    Centrosymmetric : True
    Dimensionality : 1D
  • Structure parameters
    a = 10.383
    b = 8.144
    c = 7.657
    α = 90.0
    β = 109.8
    γ = 90.0
  • Number of atoms per primitive cell = 14
    Total number of electrons per primitive cell = 126
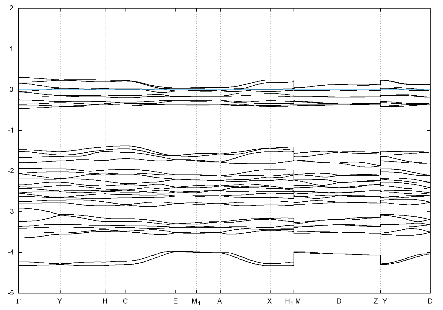
  • Band gap = 0.0 eV
    Direct Gap = 0.000 eV
    Metallicity = 0.615
    Topological Z2 indices ν = (0;011)
  • cif file - scf.in - scf.out - bands.in - bands.out
  • Reference:

    Ueber die Systeme Ai/Coi+2 und die kristallchemischen Beziehungen in der Gruppe der Doppelhalogenide An Cox(n+2) mit x = Cl, Br, I,
    Zeitschrift fuer Anorganische und Allgemeine Chemie 429, 105 (1977)


Band structure with spin-orbit coupling