• Formula : BH2CO
  • Space Group : C2/c (15)
    Centrosymmetric : True
    Dimensionality : 1D
  • Structure parameters
    a = 10.82
    b = 4.437
    c = 10.41
    α = 90.0
    β = 98.37
    γ = 90.0
  • Number of atoms per primitive cell = 20
    Total number of electrons per primitive cell = 60
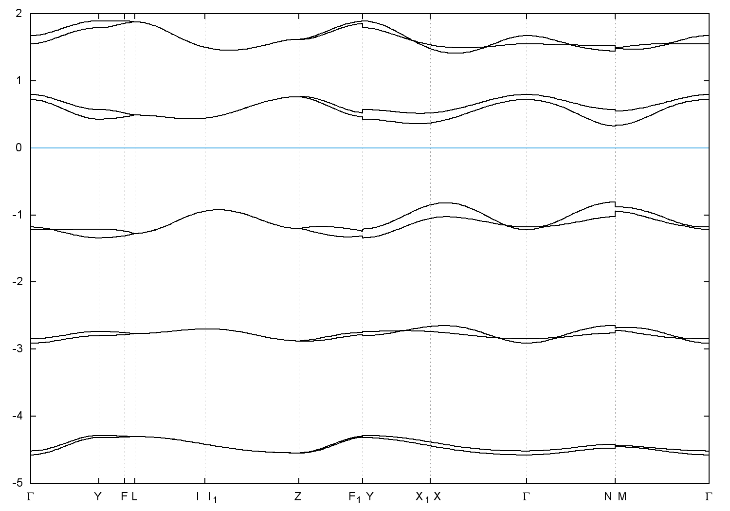
  • Band gap = 1.1303 eV
    Direct Gap = 1.130 eV
    Metallicity = 0.000
    Topological Z2 indices ν = (0;000)
  • scf.in - scf.out - bands.in - bands.out
  • Reference: ICSD Collection Code: 9561

Band structure with spin-orbit coupling