• Formula : K4CdP2
  • Space Group : R-3m (166)
    Centrosymmetric : True
    Dimensionality : 1D
  • Structure parameters
    a = 9.84
    b = 5.681
    c = 9.575
    α = 90.0
    β = 110.0
    γ = 90.0
  • Number of atoms per primitive cell = 7
    Total number of electrons per primitive cell = 58
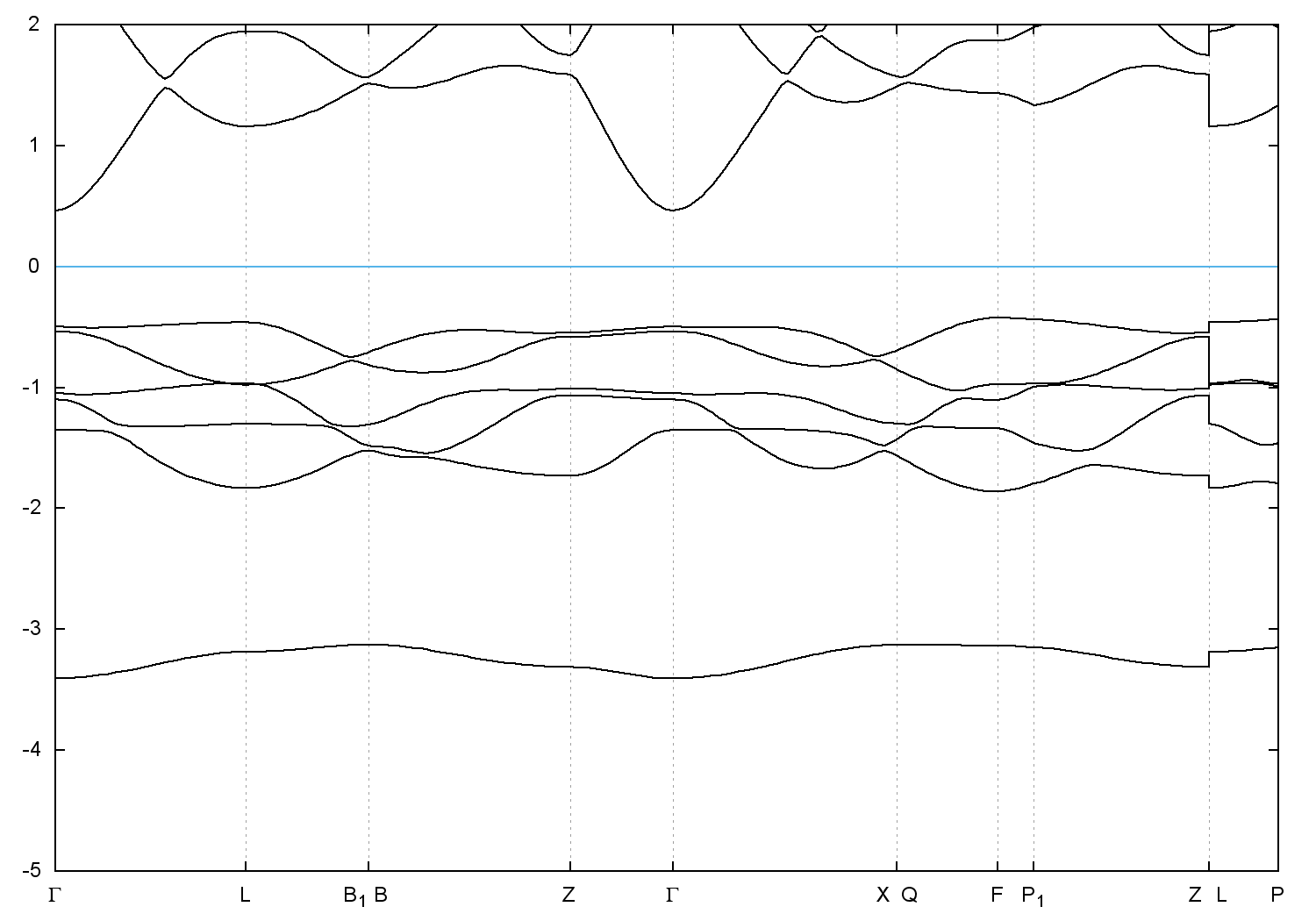
  • Band gap = 0.89 eV
    Direct Gap = 0.963 eV
    Metallicity = 0.000
    Topological Z2 indices ν = (0;000)
  • scf.in - scf.out - bands.in - bands.out
  • Reference: ICSD Collection Code: 61084

Band structure with spin-orbit coupling