• Formula : CaMn(SiO3)2
  • Space Group : C2/c (15)
    Centrosymmetric : True
    Dimensionality : 3D
  • Structure parameters
    a = 9.978
    b = 9.156
    c = 5.293
    α = 90.0
    β = 105.48
    γ = 90.0
  • Number of atoms per primitive cell = 20
    Total number of electrons per primitive cell = 138
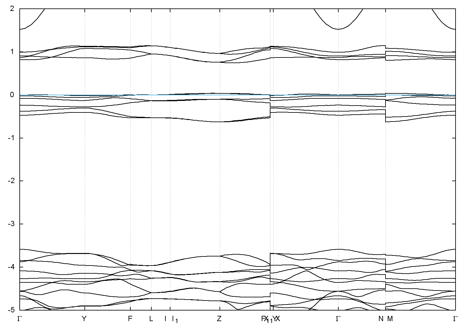
  • Band gap = 0.0 eV
    Direct Gap = 0.000 eV
    Metallicity = 0.425
    Topological Z2 indices ν = (1;101)
  • cif file - scf.in - scf.out - bands.in - bands.out
  • Reference:

    Refinement of the crystal structure of johannsenite,
    American Mineralogist 52, 709 (1967)


Band structure with spin-orbit coupling