• Formula : SeBr
  • Space Group : P2_1/c (14)
    Centrosymmetric : True
    Dimensionality : 1D
  • Structure parameters
    a = 7.345
    b = 14.282
    c = 4.974
    α = 90.0
    β = 97.11
    γ = 90.0
  • Number of atoms per primitive cell = 16
    Total number of electrons per primitive cell = 104
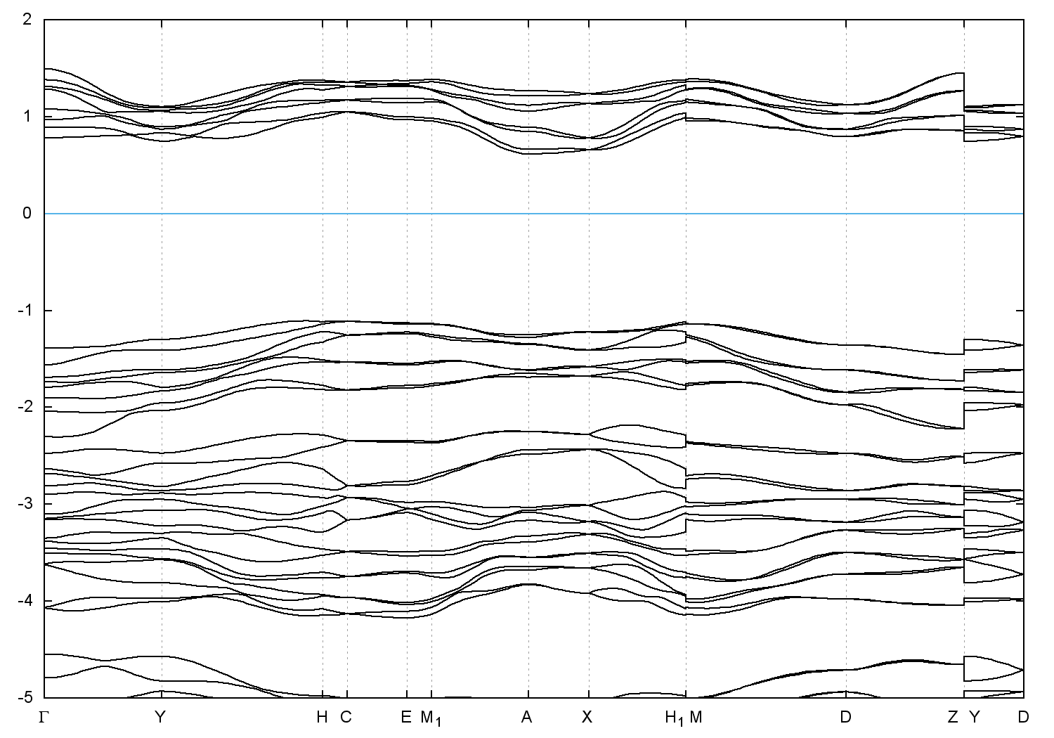
  • Band gap = 1.7231 eV
    Direct Gap = 1.861 eV
    Metallicity = 0.000
    Topological Z2 indices ν = (0;000)
  • scf.in - scf.out - bands.in - bands.out
  • Reference: ICSD Collection Code: 37017

Band structure with spin-orbit coupling