• Formula : Br
  • Space Group : Cmce (64)
    Centrosymmetric : True
    Dimensionality : 1D
  • Structure parameters
    a = 16.67
    b = 4.48
    c = 8.72
    α = 90.0
    β = 90.0
    γ = 90.0
  • Number of atoms per primitive cell = 4
    Total number of electrons per primitive cell = 28
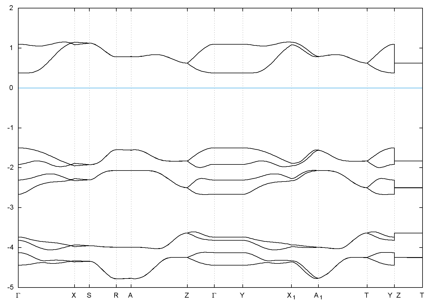
  • Band gap = 1.8751 eV
    Direct Gap = 1.877 eV
    Metallicity = 0.000
    Topological Z2 indices ν = (0;000)
  • cif file - scf.in - scf.out - bands.in - bands.out
  • Reference:

    The Structure of Crystalline Bromine,
    Journal of the American Chemical Society 58, 2459 (1936)


Band structure with spin-orbit coupling