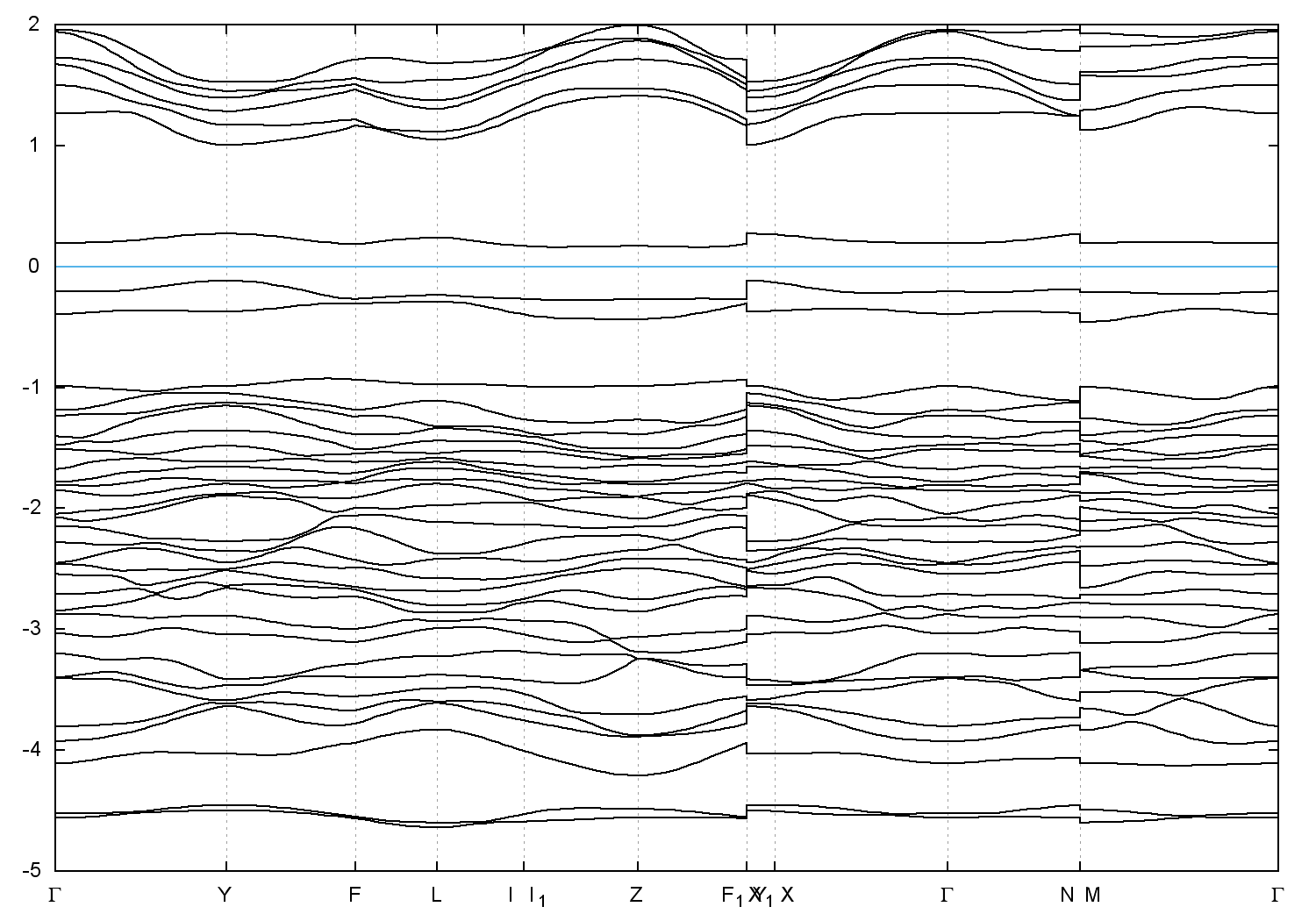
• Formula : Os(SeBr6)2
  • Space Group : C2/m (12)
    Centrosymmetric : True
    Dimensionality : 2D
  • Structure parameters
    a = 14.0464
    b = 11.05398
    c = 6.5034
    α = 90.0
    β = 112.2645
    γ = 90.0
  • Number of atoms per primitive cell = 15
    Total number of electrons per primitive cell = 112
  • Band gap = 0.2779 eV
    Direct Gap = 0.389 eV
    Metallicity = 0.000
    Topological Z2 indices ν = (0;000)
  • scf.in - scf.out - bands.in - bands.out
  • Reference: ICSD Collection Code: 182315

Band structure with spin-orbit coupling