• Formula : K3AuSe2
  • Space Group : R-3c (167)
    Centrosymmetric : True
    Dimensionality : 1D
  • Structure parameters
    a = 8.903
    b = 8.903
    c = 18.09
    α = 90.0
    β = 90.0
    γ = 120.0
  • Number of atoms per primitive cell = 12
    Total number of electrons per primitive cell = 100
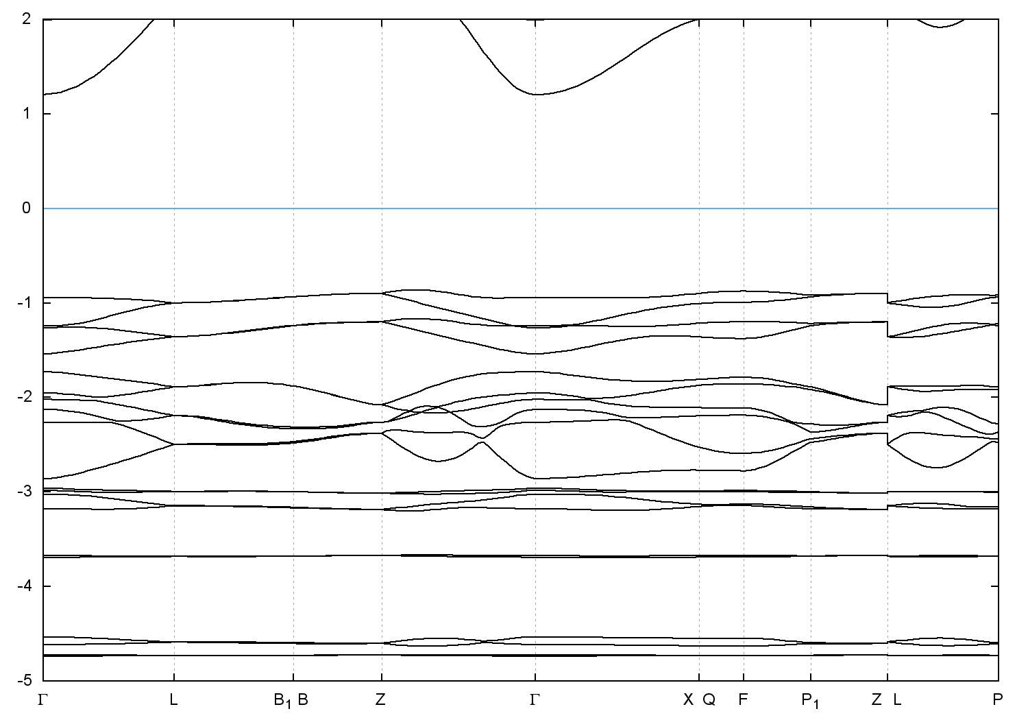
  • Band gap = 2.0665 eV
    Direct Gap = 2.145 eV
    Metallicity = 0.000
    Topological Z2 indices ν = (0;000)
  • cif file - scf.in - scf.out - bands.in - bands.out
  • Reference:

    Crystal structure of tripotassium diselenoaurate(I), K3 Au Se2,
    Zeitschrift fuer Kristallographie (149,1979-) 210, 221 (1995)


Band structure with spin-orbit coupling