• Formula : K4ZnAs2
  • Space Group : R-3m (166)
    Centrosymmetric : True
    Dimensionality : 1D
  • Structure parameters
    a = 5.7529
    b = 5.7537
    c = 26.866
    α = 90.0
    β = 90.0
    γ = 120.0
  • Number of atoms per primitive cell = 7
    Total number of electrons per primitive cell = 58
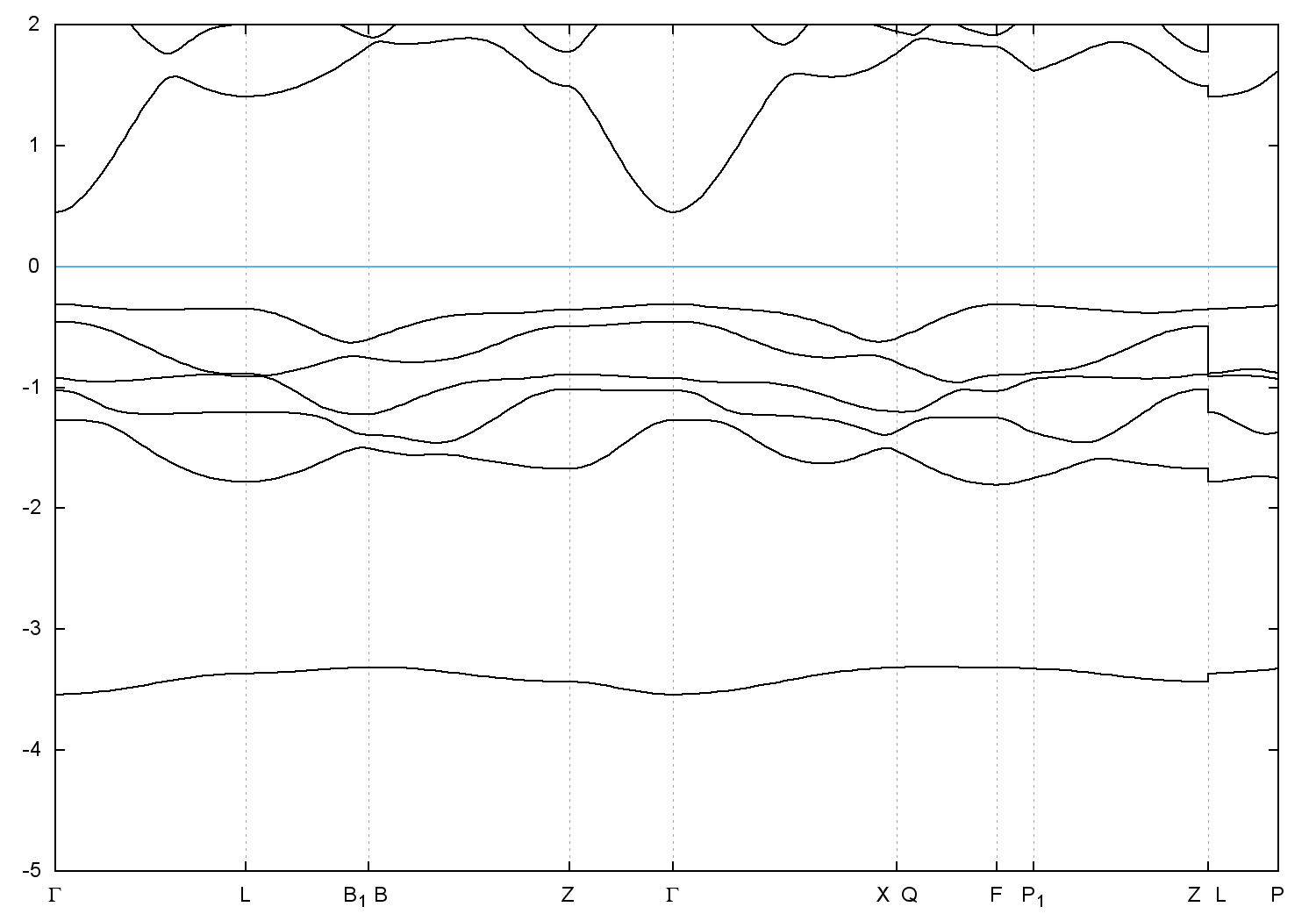
  • Band gap = 0.7611 eV
    Direct Gap = 0.761 eV
    Metallicity = 0.000
    Topological Z2 indices ν = (0;000)
  • cif file - scf.in - scf.out - bands.in - bands.out
  • Reference:

    Crystal structure of tetrapotassium diarsenidozincate, K~4~ZnAs~2~,
    Zeitschrift f\"ur Kristallographie - New Crystal Structures 222, 163 (2007)


Band structure with spin-orbit coupling