• Formula : AlBiBr6
  • Space Group : P-1 (2)
    Centrosymmetric : True
    Dimensionality : 2D
  • Structure parameters
    a = 7.693
    b = 7.706
    c = 9.739
    α = 104.19
    β = 102.65
    γ = 99.46
  • Number of atoms per primitive cell = 16
    Total number of electrons per primitive cell = 120
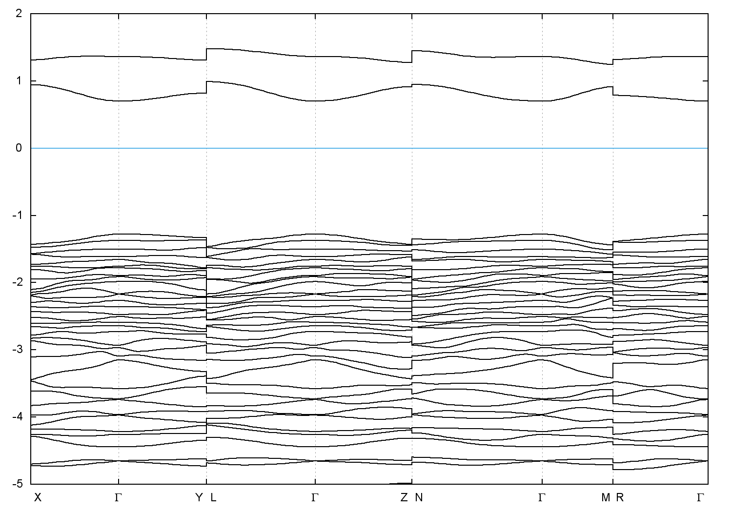
  • Band gap = 1.9787 eV
    Direct Gap = 1.979 eV
    Metallicity = 0.000
    Topological Z2 indices ν = (0;000)
  • scf.in - scf.out - bands.in - bands.out
  • Reference: ICSD Collection Code: 414262

Band structure with spin-orbit coupling