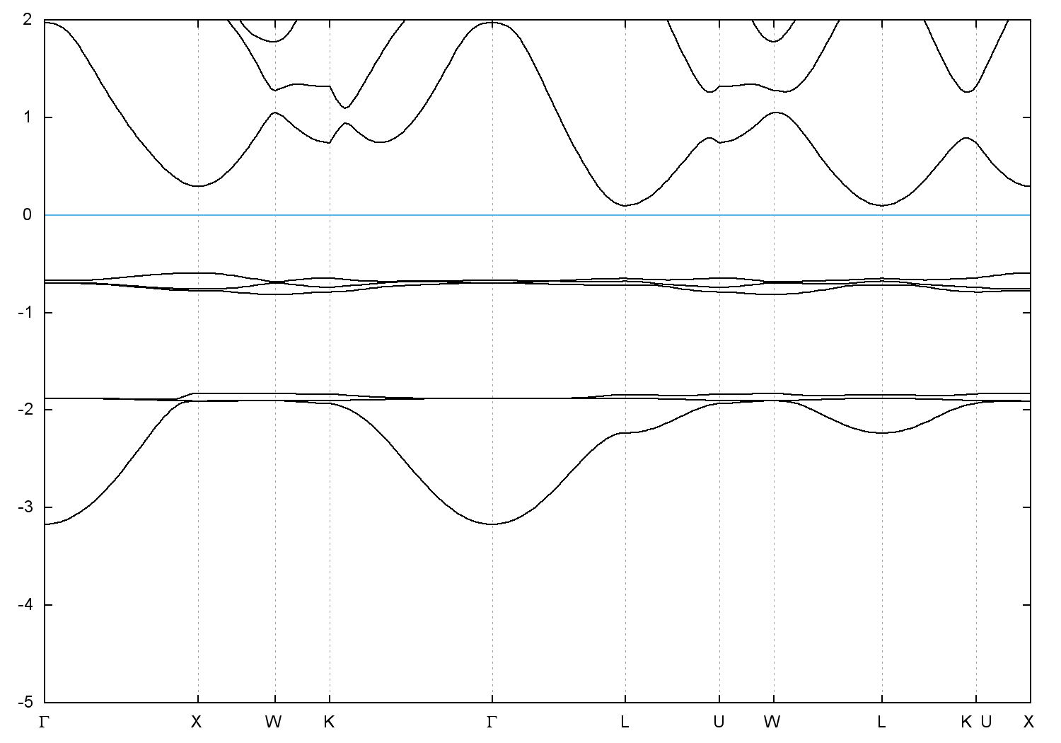
• Formula : K2Pt
  • Space Group : Fm-3m (225)
    Centrosymmetric : True
    Dimensionality : 1D
  • Structure parameters
    a = 8.038
    b = 8.038
    c = 8.038
    α = 90.0
    β = 90.0
    γ = 90.0
  • Number of atoms per primitive cell = 3
    Total number of electrons per primitive cell = 28
  • Band gap = 0.6883 eV
    Direct Gap = 0.745 eV
    Metallicity = 0.000
    Topological Z2 indices ν = (0;000)
  • cif file - scf.in - scf.out - bands.in - bands.out
  • Reference:

    K2 Pt H4, a new hydride with rotating planar (Pt H4)^2-^ groups in its high-temperature phase _cod_database_code 1008357,
    Journal of the Less-Common Metals 116, 9 (1986)


Band structure with spin-orbit coupling