Home
Formula : LiHO
2
Space Group :
C2/m (12)
Centrosymmetric : True
Dimensionality : 1D
Structure parameters
a = 7.37
b = 8.26
c = 3.19
α = 90.0
β = 110.3
γ = 90.0
Number of atoms per primitive cell = 8
Total number of electrons per primitive cell = 32
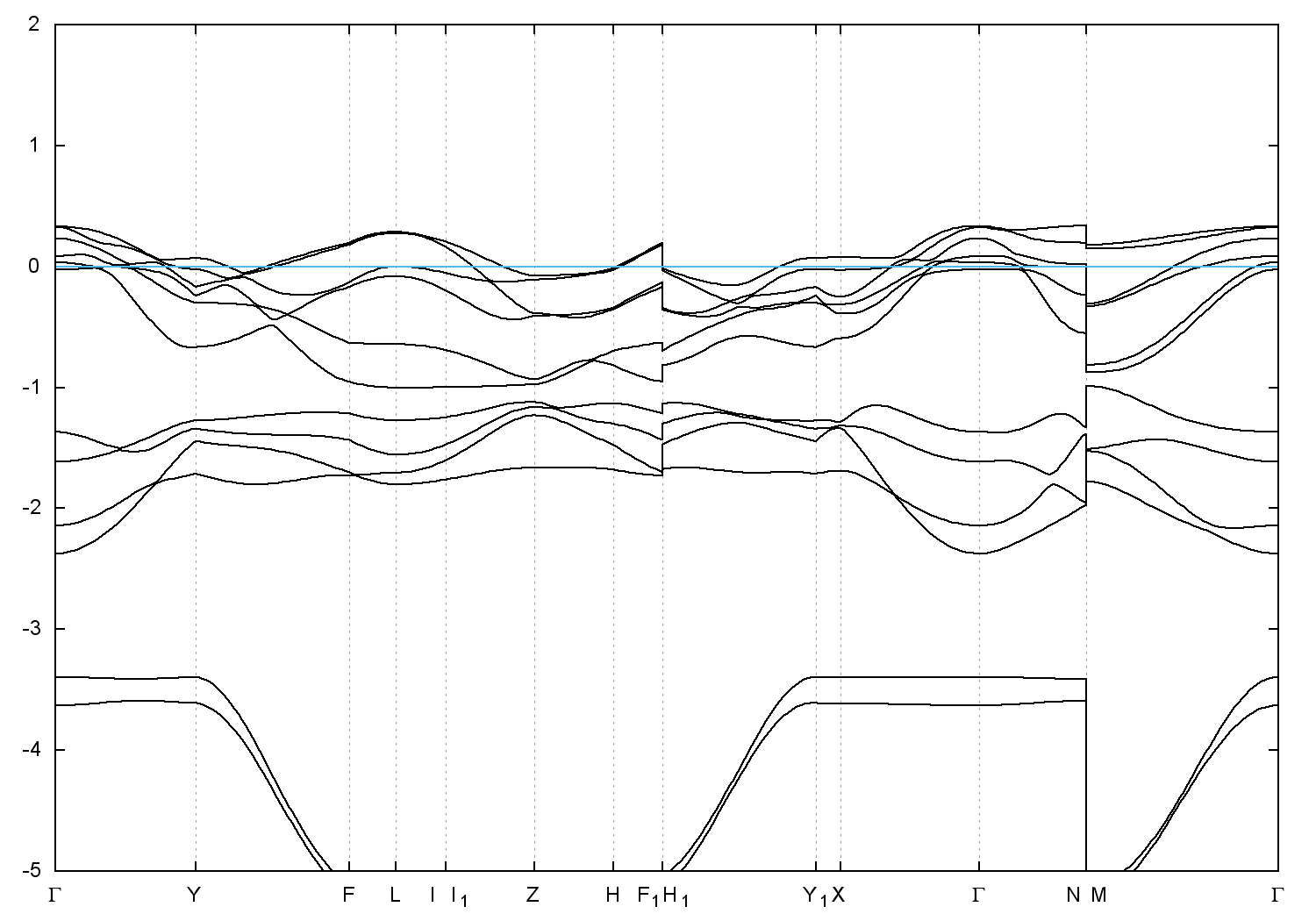
Band gap = 0.0 eV
Direct Gap = 0.008 eV
Metallicity = 0.718
Topological Z2 indices ν = (1;111)
scf.in
-
scf.out
-
bands.in
-
bands.out
Reference:
ICSD Collection Code: 27761
Band structure with spin-orbit coupling