• Formula : NaH2N
  • Space Group : Fddd (70)
    Centrosymmetric : True
    Dimensionality : 1D
  • Structure parameters
    a = 8.964
    b = 10.456
    c = 8.073
    α = 90.0
    β = 90.0
    γ = 90.0
  • Number of atoms per primitive cell = 16
    Total number of electrons per primitive cell = 64
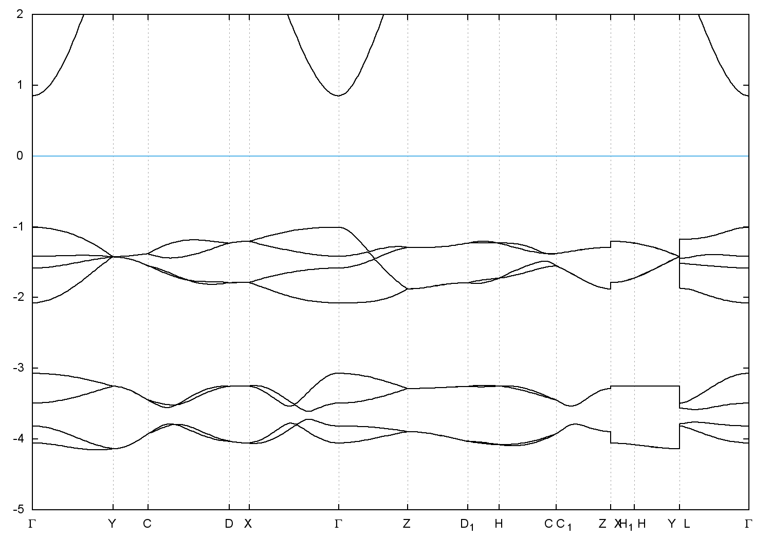
  • Band gap = 1.8569 eV
    Direct Gap = 1.857 eV
    Metallicity = 0.000
    Topological Z2 indices ν = (0;000)
  • scf.in - scf.out - bands.in - bands.out
  • Reference: ICSD Collection Code: 34290

Band structure with spin-orbit coupling