• Formula : PdPbF4
  • Space Group : I4/mcm (140)
    Centrosymmetric : True
    Dimensionality : 3D
  • Structure parameters
    a = 5.873
    b = 5.873
    c = 10.833
    α = 90.0
    β = 90.0
    γ = 90.0
  • Number of atoms per primitive cell = 12
    Total number of electrons per primitive cell = 120
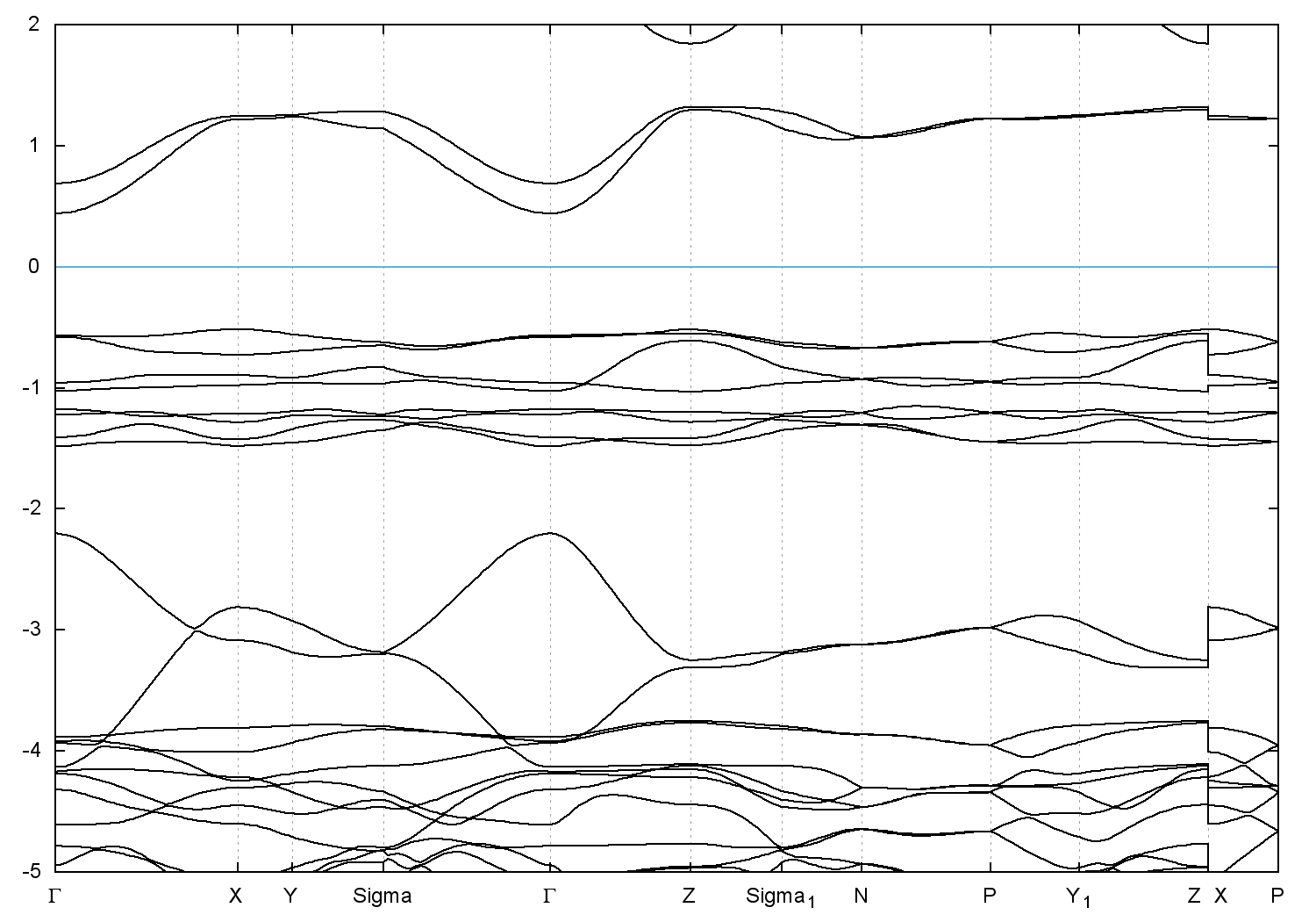
  • Band gap = 0.9568 eV
    Direct Gap = 1.005 eV
    Metallicity = 0.000
    Topological Z2 indices ν = (0;000)
  • scf.in - scf.out - bands.in - bands.out
  • Reference: ICSD Collection Code: 108992

Band structure with spin-orbit coupling