• Formula : CuHOF
  • Space Group : P2_1/c (14)
    Centrosymmetric : True
    Dimensionality : 2D
  • Structure parameters
    a = 5.301
    b = 6.376
    c = 5.074
    α = 90.0
    β = 112.9
    γ = 90.0
  • Number of atoms per primitive cell = 16
    Total number of electrons per primitive cell = 100
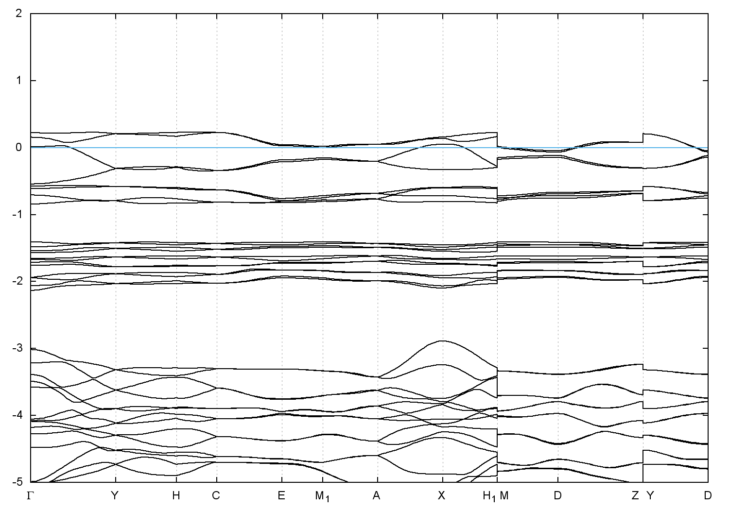
  • Band gap = 0.0 eV
    Direct Gap = 0.052 eV
    Metallicity = 0.272
    Topological Z2 indices ν = (0;010)
  • scf.in - scf.out - bands.in - bands.out
  • Reference: ICSD Collection Code: 98698

Band structure with spin-orbit coupling