• Formula : LiCoSO4F
  • Space Group : P-1 (2)
    Centrosymmetric : True
    Dimensionality : 3D
  • Structure parameters
    a = 5.1721
    b = 5.4219
    c = 7.1842
    α = 106.859
    β = 107.788
    γ = 97.986
  • Number of atoms per primitive cell = 16
    Total number of electrons per primitive cell = 114
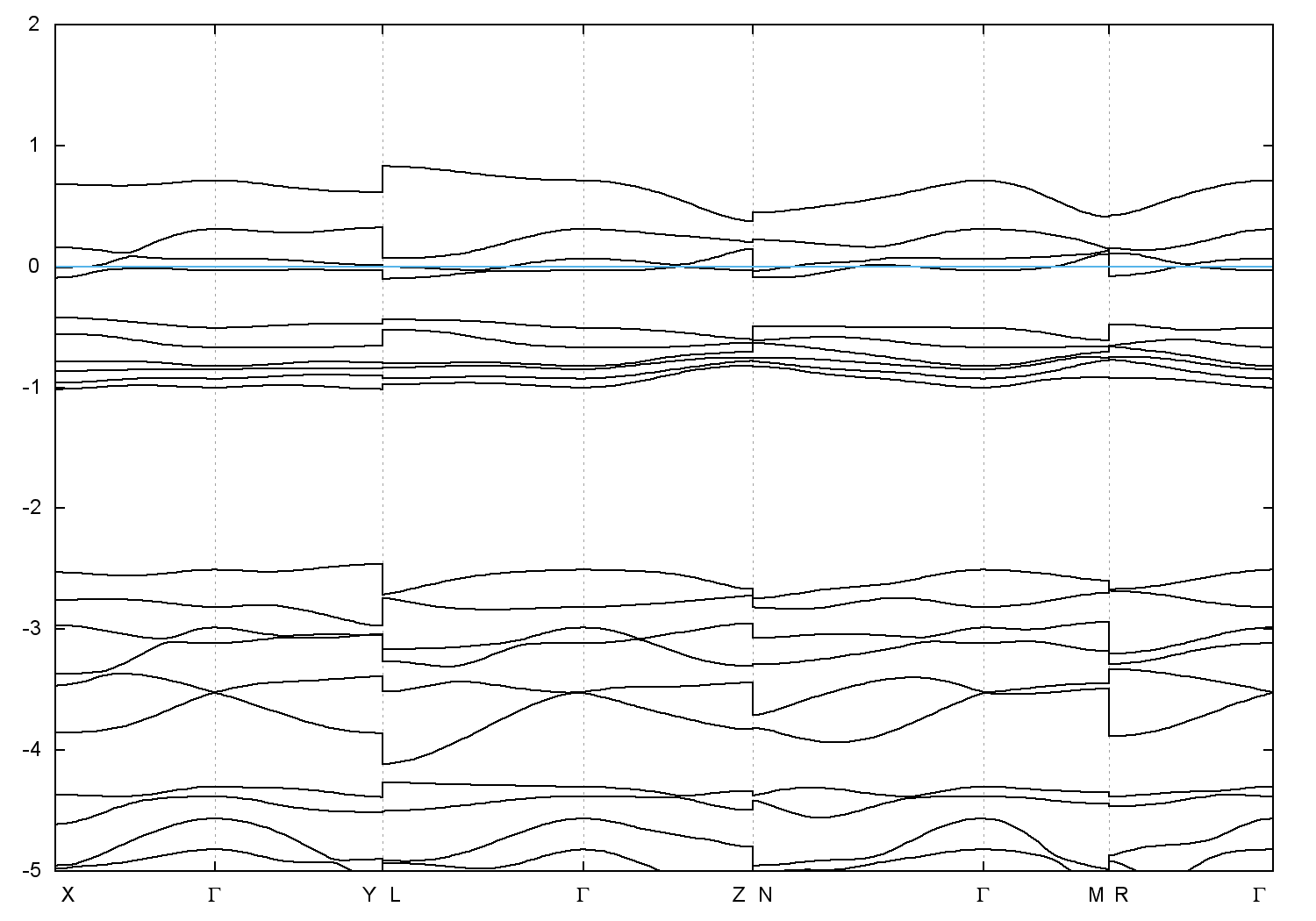
  • Band gap = 0.0 eV
    Direct Gap = 0.013 eV
    Metallicity = 0.268
    Topological Z2 indices ν = (0;100)
  • scf.in - scf.out - bands.in - bands.out
  • Reference: ICSD Collection Code: 167202

Band structure with spin-orbit coupling