• Formula : In2Se3
  • Space Group : R3m (160)
    Centrosymmetric : False
    Dimensionality : 2D
  • Structure parameters
    a = 4.05
    b = 4.05
    c = 28.77
    α = 90.0
    β = 90.0
    γ = 120.0
  • Number of atoms per primitive cell = 5
    Total number of electrons per primitive cell = 44
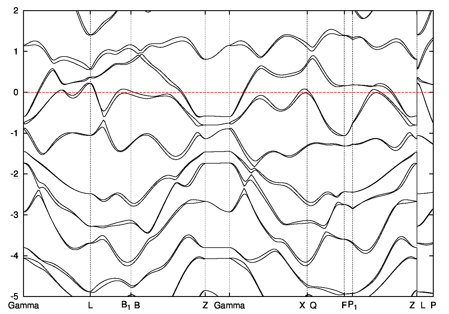
  • Band gap = 0.0 eV
    Direct Gap = 0.073 eV
    Metallicity = 0.438
    Topological Z2 indices ν = (0;000)
  • scf.in - scf.out - bands.in - bands.out
  • Reference: ICSD Collection Code: 17008

Band structure with spin-orbit coupling


Wannier charge center (WCC) at six time-reversal invariant planes