• Formula : Ca3N2
  • Space Group : R-3c (167)
    Centrosymmetric : True
    Dimensionality : 1D
  • Structure parameters
    a = 6.198837
    b = 6.198837
    c = 16.62958
    α = 90.0
    β = 90.0
    γ = 120.0
  • Number of atoms per primitive cell = 10
    Total number of electrons per primitive cell = 80
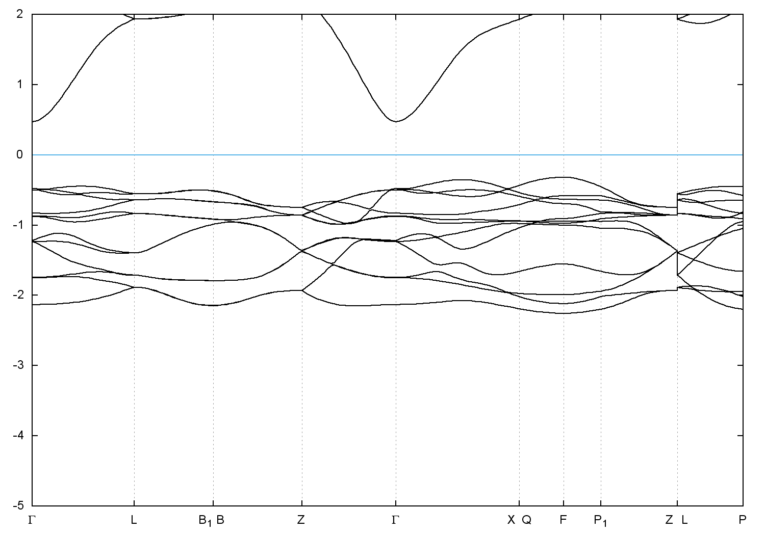
  • Band gap = 0.792 eV
    Direct Gap = 0.955 eV
    Metallicity = 0.000
    Topological Z2 indices ν = (0;000)
  • scf.in - scf.out - bands.in - bands.out
  • Reference: ICSD Collection Code: 419865

Band structure with spin-orbit coupling