• Formula : Rb(CO)3
  • Space Group : C2/m (12)
    Centrosymmetric : True
    Dimensionality : 1D
  • Structure parameters
    a = 12.522
    b = 8.354
    c = 3.761
    α = 90.0
    β = 96.93
    γ = 90.0
  • Number of atoms per primitive cell = 14
    Total number of electrons per primitive cell = 78
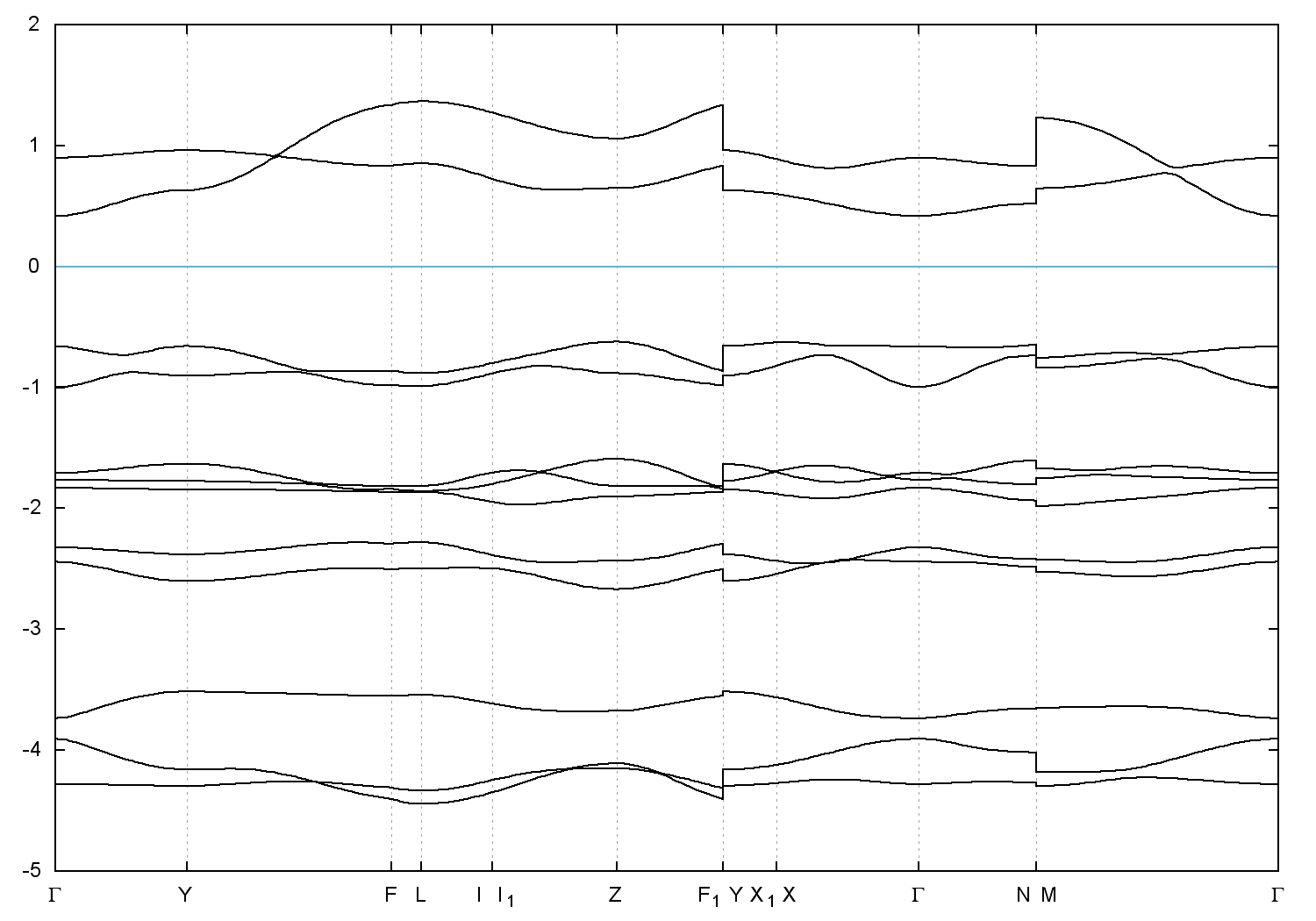
  • Band gap = 1.0399 eV
    Direct Gap = 1.080 eV
    Metallicity = 0.000
    Topological Z2 indices ν = (0;000)
  • cif file - scf.in - scf.out - bands.in - bands.out
  • Reference:

    Reversible solid-state interconversion of rhodizonic acid H2C6O6 into H6C6O8 and the solid-state structure of the rhodizonate dianion C6O62-- (aromatic or non-aromatic?),
    New Journal of Chemistry 25, 1221 (2001)


Band structure with spin-orbit coupling