Home
Formula : Ba
2
Fe
2
S
2
OF
2
Space Group :
I4/mmm (139)
Centrosymmetric : True
Dimensionality : 1D
Structure parameters
a = 4.12377
b = 4.12377
c = 19.0885
α = 90.0
β = 90.0
γ = 90.0
Number of atoms per primitive cell = 9
Total number of electrons per primitive cell = 68
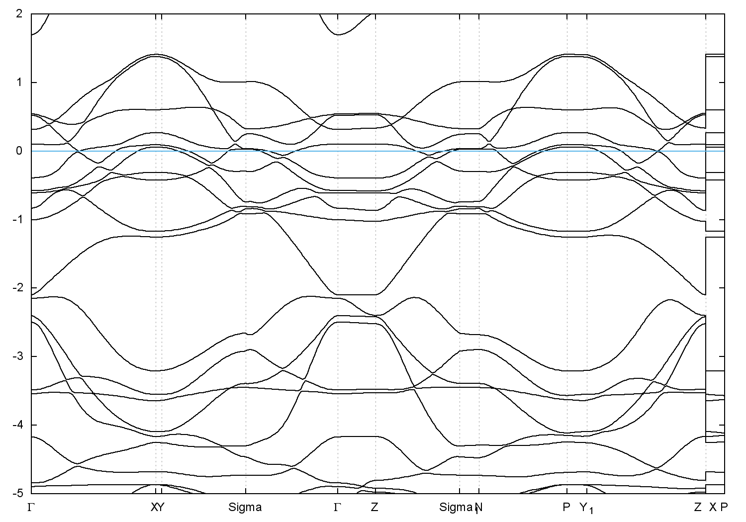
Band gap = 0.0 eV
Direct Gap = 0.004 eV
Metallicity = 0.451
Topological Z2 indices ν = (0;000)
scf.in
-
scf.out
-
bands.in
-
bands.out
Reference:
ICSD Collection Code: 249689
Band structure with spin-orbit coupling