• Formula : IrF4
  • Space Group : F2dd (43)
    Centrosymmetric : False
    Dimensionality : 3D
  • Structure parameters
    a = 9.64
    b = 9.25
    c = 5.67
    α = 90.0
    β = 90.0
    γ = 90.0
  • Number of atoms per primitive cell = 10
    Total number of electrons per primitive cell = 74
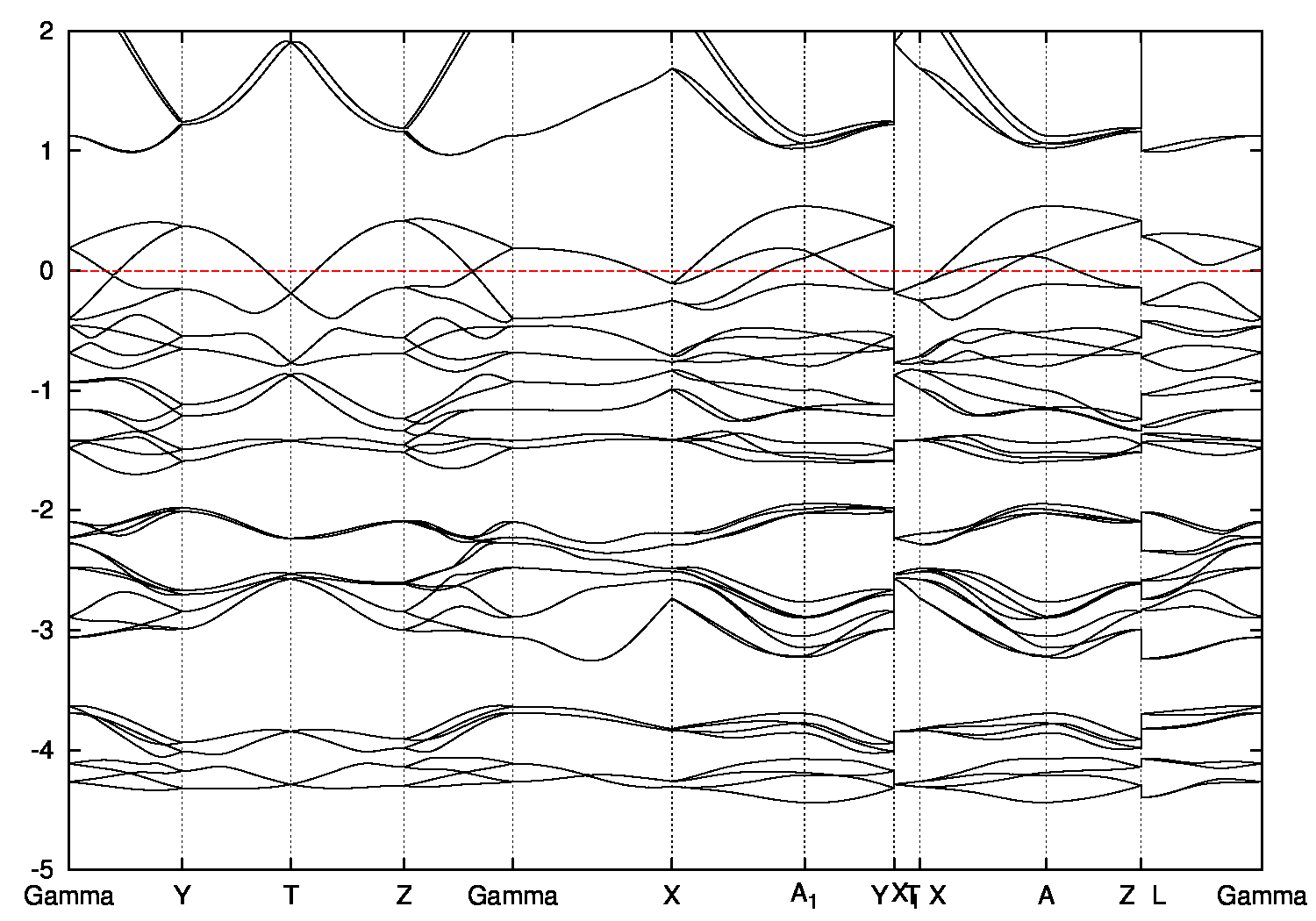
  • Band gap = 0.0 eV
    Direct Gap = 0.000 eV
    Metallicity = 0.301
    Topological Z2 indices ν = (1;000)
  • scf.in - scf.out - bands.in - bands.out
  • Reference: ICSD Collection Code: 23483

Band structure with spin-orbit coupling


Wannier charge center (WCC) at six time-reversal invariant planes