• Formula : RbAu(SO4)2
  • Space Group : P-1 (2)
    Centrosymmetric : True
    Dimensionality : 1D
  • Structure parameters
    a = 4.2361
    b = 4.9752
    c = 8.89
    α = 76.36
    β = 88.44
    γ = 73.53
  • Number of atoms per primitive cell = 12
    Total number of electrons per primitive cell = 80
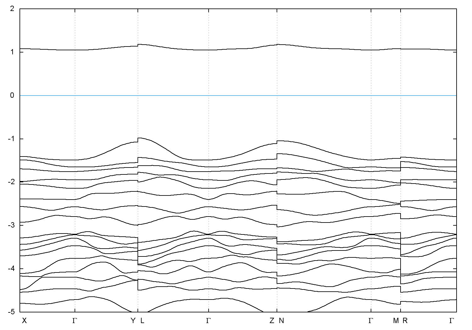
  • Band gap = 2.0264 eV
    Direct Gap = 2.159 eV
    Metallicity = 0.000
    Topological Z2 indices ν = (0;000)
  • scf.in - scf.out - bands.in - bands.out
  • Reference: ICSD Collection Code: 412095

Band structure with spin-orbit coupling