• Formula : K3AuO
  • Space Group : Pm-3m (221)
    Centrosymmetric : True
    Dimensionality : 1D
  • Structure parameters
    a = 5.24
    b = 5.24
    c = 5.24
    α = 90.0
    β = 90.0
    γ = 90.0
  • Number of atoms per primitive cell = 5
    Total number of electrons per primitive cell = 44
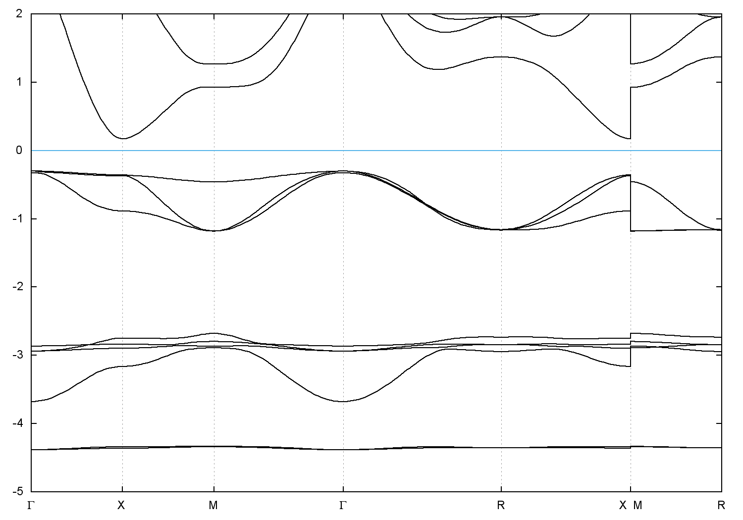
  • Band gap = 0.4723 eV
    Direct Gap = 0.529 eV
    Metallicity = 0.000
    Topological Z2 indices ν = (0;000)
  • cif file - scf.in - scf.out - bands.in - bands.out
  • Reference:

    Zur Kenntnis neuer ternaerer Oxide mit anionischem Gold,
    Zeitschrift fuer Anorganische und Allgemeine Chemie 621, 201 (1995)


Band structure with spin-orbit coupling