• Formula : CoHO2
  • Space Group : R-3m (166)
    Centrosymmetric : True
    Dimensionality : 3D
  • Structure parameters
    a = 2.851
    b = 2.851
    c = 13.15
    α = 90.0
    β = 90.0
    γ = 120.0
  • Number of atoms per primitive cell = 4
    Total number of electrons per primitive cell = 30
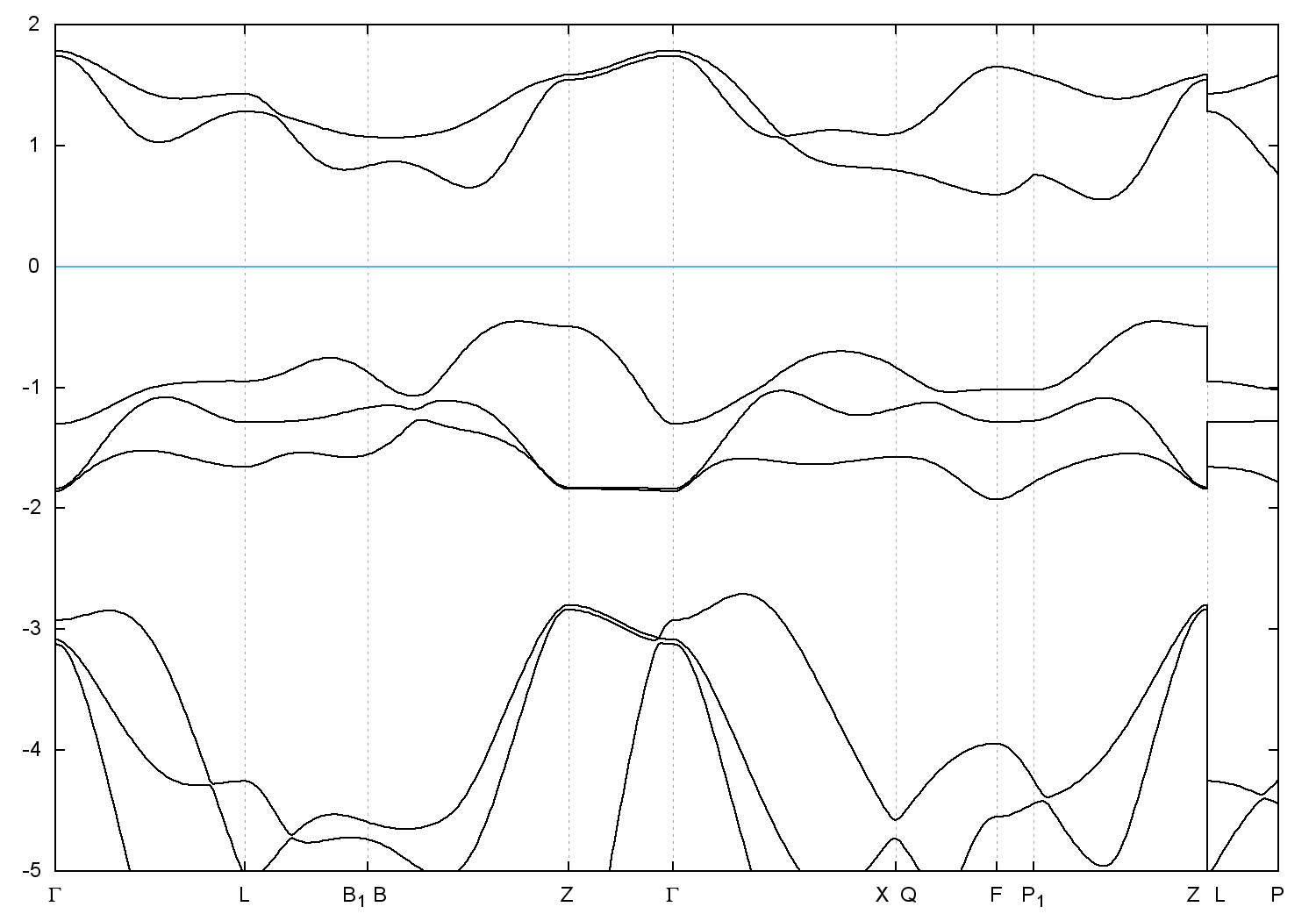
  • Band gap = 1.0064 eV
    Direct Gap = 1.165 eV
    Metallicity = 0.000
    Topological Z2 indices ν = (0;000)
  • cif file - scf.in - scf.out - bands.in - bands.out
  • Reference:

    Diffraction and spectroscopic studies of the cobaltic acid system HCoO2 - DCoO2 Note: X-ray study Note: polytype known as Heterogenite-3R,
    Journal of Chemical Physics 50, 1920 (1969)


Band structure with spin-orbit coupling