• Formula : CaZnSe2
  • Space Group : P-4m2 (115)
    Centrosymmetric : False
    Dimensionality : 2D
  • Structure parameters
    a = 4.26
    b = 4.26
    c = 6.38
    α = 90.0
    β = 90.0
    γ = 90.0
  • Number of atoms per primitive cell = 4
    Total number of electrons per primitive cell = 34
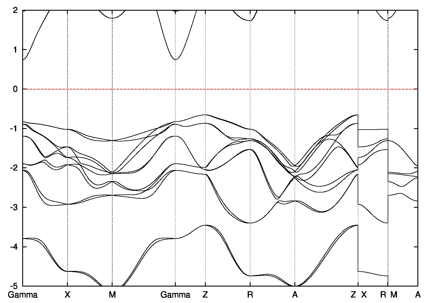
  • Band gap = 1.3984 eV
    Direct Gap = 1.570 eV
    Metallicity = 0.000
    Topological Z2 indices ν = (0;000)
  • scf.in - scf.out - bands.in - bands.out
  • Reference: ICSD Collection Code: 167832

Band structure with spin-orbit coupling