• Formula : Co2P2O7
  • Space Group : P2_1/c (14)
    Centrosymmetric : True
    Dimensionality : 3D
  • Structure parameters
    a = 5.339
    b = 9.923
    c = 4.488
    α = 90.0
    β = 97.45
    γ = 90.0
  • Number of atoms per primitive cell = 22
    Total number of electrons per primitive cell = 172
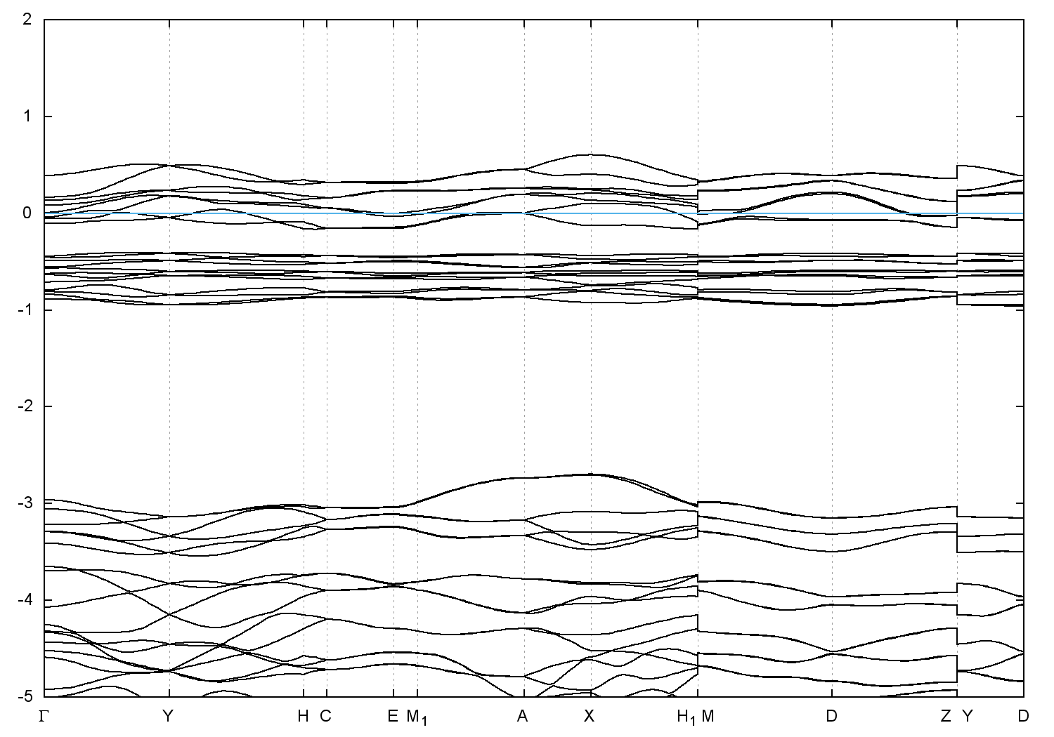
  • Band gap = 0.0 eV
    Direct Gap = 0.015 eV
    Metallicity = 0.457
    Topological Z2 indices ν = (1;000)
  • cif file - scf.in - scf.out - bands.in - bands.out
  • Reference:

    Structure d'un Diphosphate Synth\'etique de Cobalt: Co~2~P~2~O~7~,
    Acta Crystallographica Section C 53, 1523 (1997)


Band structure with spin-orbit coupling