• Formula : S5N6
  • Space Group : C2/c (15)
    Centrosymmetric : True
    Dimensionality : 1D
  • Structure parameters
    a = 8.787
    b = 11.19
    c = 7.427
    α = 90.0
    β = 106.46
    γ = 90.0
  • Number of atoms per primitive cell = 22
    Total number of electrons per primitive cell = 120
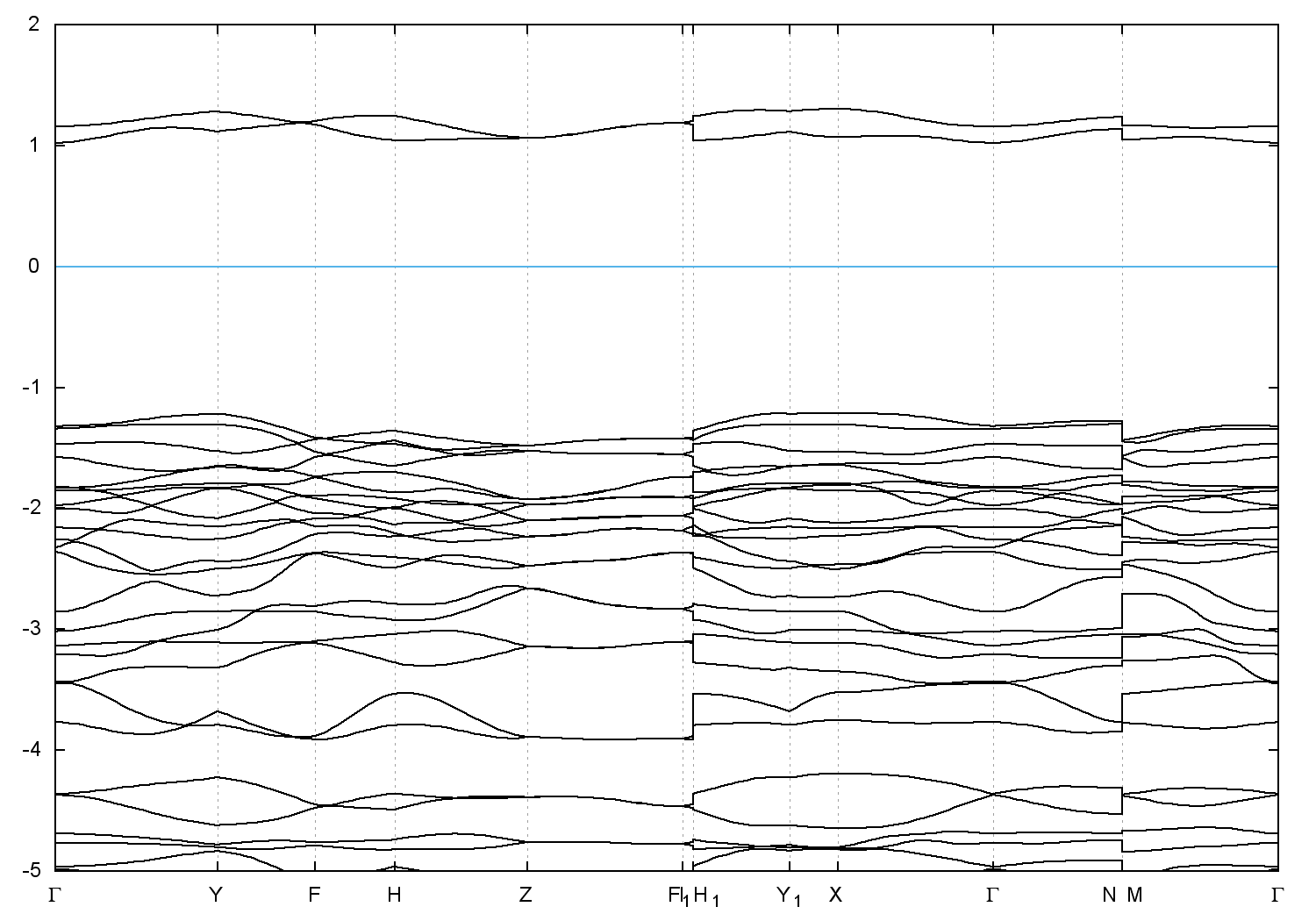
  • Band gap = 2.2357 eV
    Direct Gap = 2.285 eV
    Metallicity = 0.000
    Topological Z2 indices ν = (0;000)
  • cif file - scf.in - scf.out - bands.in - bands.out
  • Reference:

    Reactions of the tetrasulfur pentanitride(-1)ion with halogens. Synthesis, spectroscopic characterization, and crystal structure of pentasulfur hexanitride,
    Canadian Journal of Chemistry 57, 1286 (1979)


Band structure with spin-orbit coupling