• Formula : CsIO4
  • Space Group : Pnma (62)
    Centrosymmetric : True
    Dimensionality : 1D
  • Structure parameters
    a = 5.863
    b = 6.035
    c = 14.377
    α = 90.0
    β = 90.0
    γ = 90.0
  • Number of atoms per primitive cell = 24
    Total number of electrons per primitive cell = 160
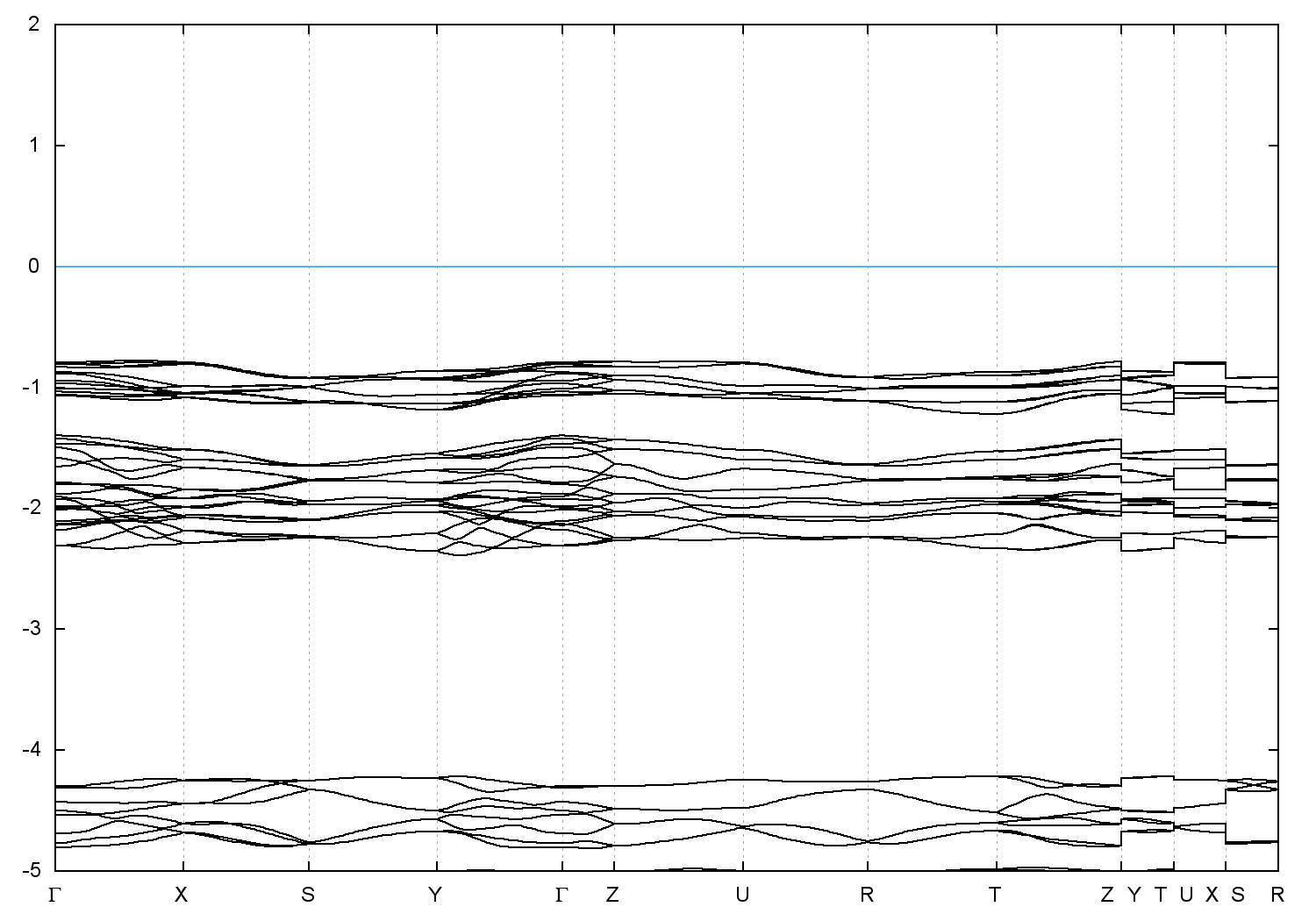
  • Band gap = 3.2435 eV
    Direct Gap = 3.254 eV
    Metallicity = 0.000
    Topological Z2 indices ν = (0;000)
  • cif file - scf.in - scf.out - bands.in - bands.out
  • Reference:

    Zur Kenntnis von Oxyden A (M O4): Ueber Li Mn O4, K Mn O4, Rb Mn O4, Cs Mn O4 sowie Rb I O4 und Cs I O4. (-Was heisst eigentlich "Die Kristallstruktur von..."?-),
    Zeitschrift fuer Anorganische und Allgemeine Chemie 625, 1135 (1999)


Band structure with spin-orbit coupling