• Formula : S5N5Cl
  • Space Group : C2/c (15)
    Centrosymmetric : True
    Dimensionality : 1D
  • Structure parameters
    a = 7.98
    b = 14.37
    c = 7.3
    α = 90.0
    β = 97.15
    γ = 90.0
  • Number of atoms per primitive cell = 22
    Total number of electrons per primitive cell = 124
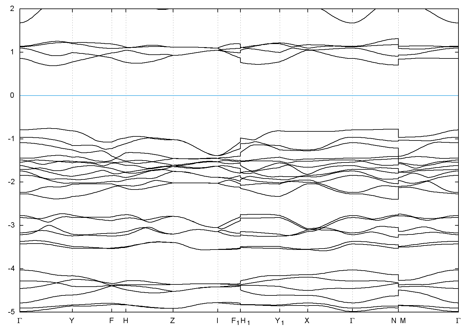
  • Band gap = 1.4462 eV
    Direct Gap = 1.448 eV
    Metallicity = 0.000
    Topological Z2 indices ν = (0;000)
  • scf.in - scf.out - bands.in - bands.out
  • Reference: ICSD Collection Code: 62528

Band structure with spin-orbit coupling