Home
You must have javascript enabled to display the crystal structure and Brillouin zone
Formula : C
5
NCl
5
Space Group :
Pc (7)
Centrosymmetric : False
Dimensionality : 1D
Structure parameters
a = 5.359
b = 5.224
c = 15.101
α = 90.0
β = 100.228
γ = 90.0
Number of atoms per primitive cell = 22
Total number of electrons per primitive cell = 120
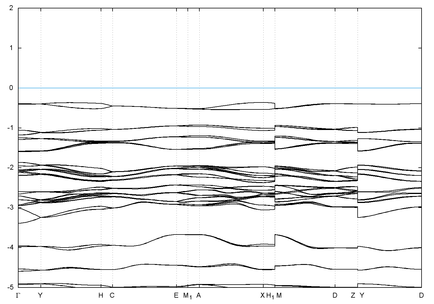
Band gap = 3.4089 eV
Direct Gap = 3.409 eV
Metallicity = 0.000
Topological Z2 indices ν = (0;000)
cif file
-
scf.in
-
scf.out
-
bands.in
-
bands.out
Reference:
Band structure with spin-orbit coupling