• Formula : C4S3N5
  • Space Group : P-1 (2)
    Centrosymmetric : True
    Dimensionality : 1D
  • Structure parameters
    a = 4.4456
    b = 8.407
    c = 9.671
    α = 71.34
    β = 89.28
    γ = 87.8
  • Number of atoms per primitive cell = 24
    Total number of electrons per primitive cell = 118
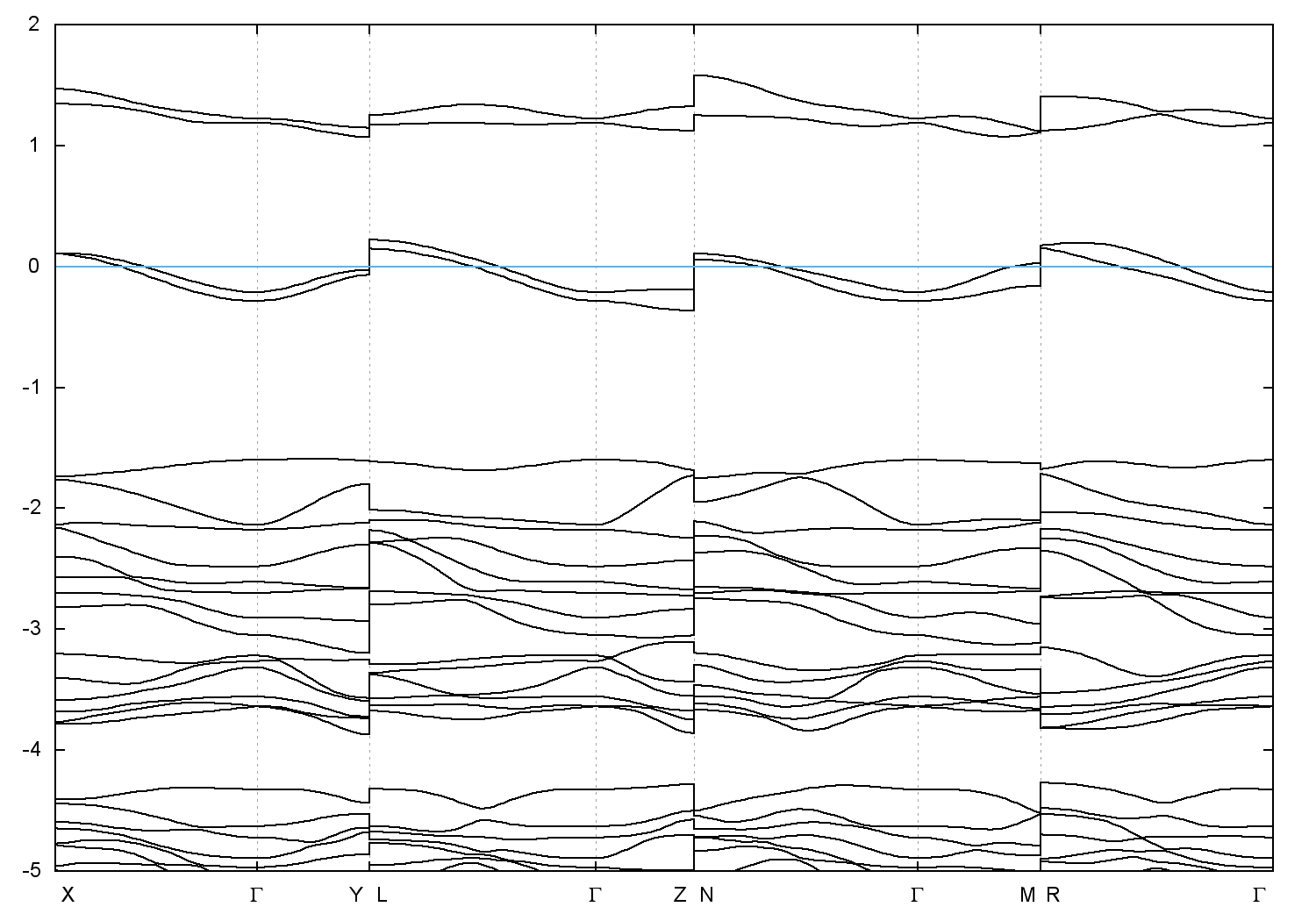
  • Band gap = 0.0 eV
    Direct Gap = 0.002 eV
    Metallicity = 0.875
    Topological Z2 indices ν = (0;010)
  • cif file - scf.in - scf.out - bands.in - bands.out
  • Reference:

    Redox, Magnetic, and Structural Properties of 1,3,2-Dithiazolyl Radicals. A Case Study on the Ternary Heterocycle S3N5C4,
    Journal of the American Chemical Society 120, 352 (1998)


Band structure with spin-orbit coupling