• Formula : Cs3TaO8
  • Space Group : I-42m (121)
    Centrosymmetric : False
    Dimensionality : 1D
  • Structure parameters
    a = 7.37
    b = 7.37
    c = 8.34
    α = 90.0
    β = 90.0
    γ = 90.0
  • Number of atoms per primitive cell = 12
    Total number of electrons per primitive cell = 88
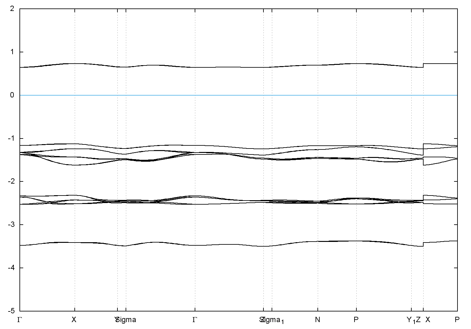
  • Band gap = 1.7678 eV
    Direct Gap = 1.807 eV
    Metallicity = 0.000
    Topological Z2 indices ν = (0;000)
  • scf.in - scf.out - bands.in - bands.out
  • Reference: ICSD Collection Code: 30408

Band structure with spin-orbit coupling