• Formula : Cs2Se
  • Space Group : Fdd2 (43)
    Centrosymmetric : False
    Dimensionality : 1D
  • Structure parameters
    a = 11.75
    b = 16.49
    c = 6.775
    α = 90.0
    β = 90.0
    γ = 90.0
  • Number of atoms per primitive cell = 6
    Total number of electrons per primitive cell = 48
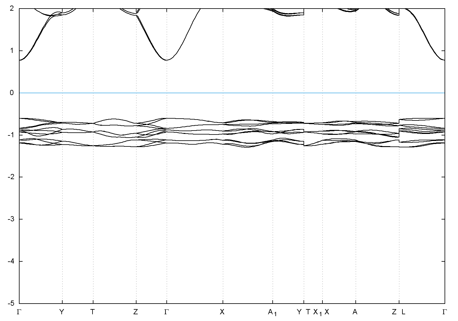
  • Band gap = 1.3763 eV
    Direct Gap = 1.379 eV
    Metallicity = 0.000
    Topological Z2 indices ν = (0;000)
  • scf.in - scf.out - bands.in - bands.out
  • Reference: ICSD Collection Code: 41687

Band structure with spin-orbit coupling