• Formula : Rb3Mn2Cl7
  • Space Group : I4/mmm (139)
    Centrosymmetric : True
    Dimensionality : 3D
  • Structure parameters
    a = 5.089
    b = 5.089
    c = 26.146
    α = 90.0
    β = 90.0
    γ = 90.0
  • Number of atoms per primitive cell = 12
    Total number of electrons per primitive cell = 106
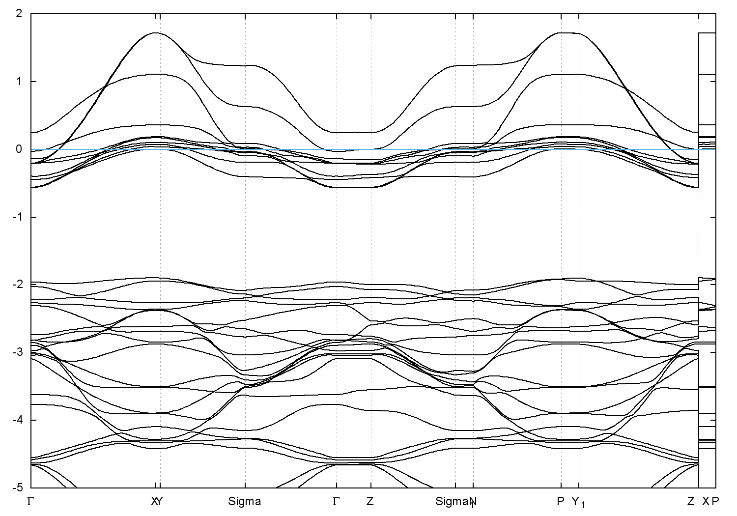
  • Band gap = 0.0 eV
    Direct Gap = 0.001 eV
    Metallicity = 0.860
    Topological Z2 indices ν = (0;000)
  • cif file - scf.in - scf.out - bands.in - bands.out
  • Reference:

    Crystal structure of (Rb2 Co Cl4) and (Rb3 Mn2 Cl7),
    Israel Journal of Chemistry 10, 715 (1972)


Band structure with spin-orbit coupling