• Formula : PICl6
  • Space Group : P-42_1m (113)
    Centrosymmetric : False
    Dimensionality : 1D
  • Structure parameters
    a = 9.26
    b = 9.26
    c = 5.68
    α = 90.0
    β = 90.0
    γ = 90.0
  • Number of atoms per primitive cell = 16
    Total number of electrons per primitive cell = 108
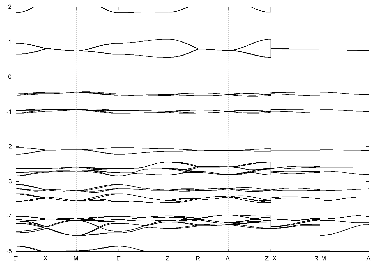
  • Band gap = 0.9841 eV
    Direct Gap = 1.058 eV
    Metallicity = 0.000
    Topological Z2 indices ν = (0;000)
  • scf.in - scf.out - bands.in - bands.out
  • Reference: ICSD Collection Code: 26594

Band structure with spin-orbit coupling