Home
Formula : BH
2
S
3
N
3
F
4
Space Group :
P1 (1)
Centrosymmetric : False
Dimensionality : 1D
Structure parameters
a = 5.445
b = 7.346
c = 9.473
α = 85.89
β = 83.92
γ = 82.13
Number of atoms per primitive cell = 13
Total number of electrons per primitive cell = 66
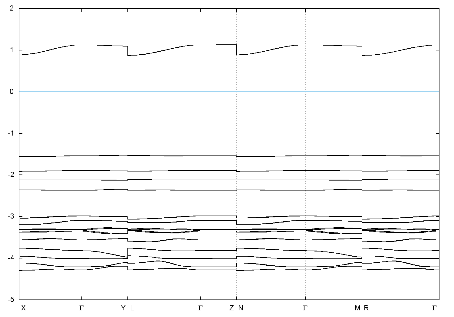
Band gap = 2.3977 eV
Direct Gap = 2.402 eV
Metallicity = 0.000
Topological Z2 indices ν = (0;000)
scf.in
-
scf.out
-
bands.in
-
bands.out
Reference:
ICSD Collection Code: 201705
Band structure with spin-orbit coupling