• Formula : Ba2S3
  • Space Group : I4_1md (109)
    Centrosymmetric : False
    Dimensionality : 1D
  • Structure parameters
    a = 6.112
    b = 6.112
    c = 15.95
    α = 90.0
    β = 90.0
    γ = 90.0
  • Number of atoms per primitive cell = 10
    Total number of electrons per primitive cell = 76
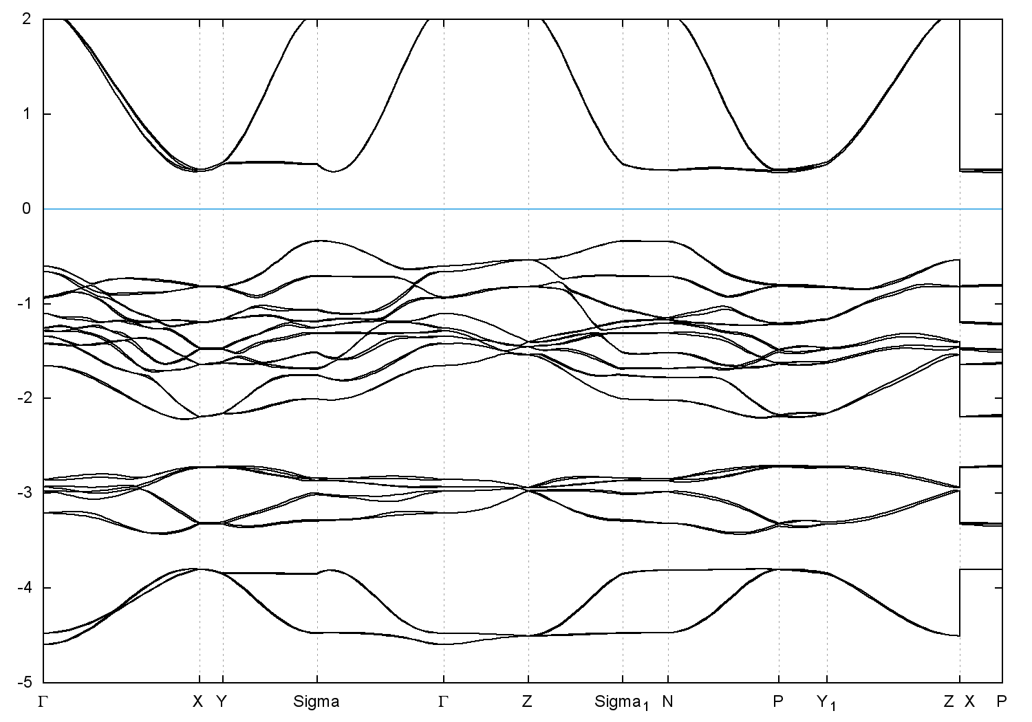
  • Band gap = 0.7201 eV
    Direct Gap = 0.736 eV
    Metallicity = 0.000
    Topological Z2 indices ν = (0;000)
  • scf.in - scf.out - bands.in - bands.out
  • Reference: ICSD Collection Code: 70058

Band structure with spin-orbit coupling